Ess Qau
SymbolFont Unicode Refresh Clear Represent in own window Help x n a i Ö.
Ess qau. PFh9 1335 \Launcher\themeFƒî‚ \Launcher\theme\buildxml \Launcher\theme\buildxmlî‚Á­õ.
Beta Distribution Wikipedia
South Texas Veterans Health Care System Publicacoes Facebook
Solved If A 30 Cm B Cm Q 6 4 Nc And Q 3 N Chegg Com
Ess Qau のギャラリー
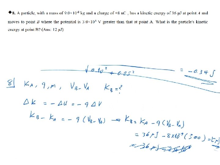
3 Electric Potential 1e03 Physics Studocu

I Oaiµa High Resolution Stock Photography And Images Alamy

Multiplicative Number Theory I Classical Theory Cambridge

Ch 24 Problems Electric Potential Jh Given E

Microcontrollers 80 Marks Sample Question Paper
Sensory Panel Analysis In Excel Tutorial Xlstat Support Center

Solved Point Charges Q 1 5 Mu C And Q 2 4 Mu C Are P Chegg Com

Roupeiro 3 Portas 2 Gavetas Livia Passo A Manualzz

A Based Similarity Assessment Of Semantic Graphs Springerlink
The Network Shown In The Figure Is Part Of A Complete Circuit If
Magnetic Monopole Wikipedia
If Is A Binary Operation On Q Defined By A B 3ab 5 Show That Is Commutative As Well As Associative Also Find Its Identity If It Exists Sarthaks

Pdf Free Download

Passage 1 The Figure Shows A Diagonal Symmetric Arrangement Of Capacitors And A Battery Identify The

Solved Rat T V W Be A 1 1 Linear Transformation If S Chegg Com

Pdf Free Download

Field Fundamentals Chapter Field Extensions Definitions Lemma Pdf Free Download
I Find The Nature Of The Roo See How To Solve It At Qanda
Solved If Q 25 Mu C Q 10 Mu C And L 40 Cm In The Chegg Com
Direction Solve The Following See How To Solve It At Qanda

When Are Expectiles Percentiles Econometric Theory Cambridge Core

True Reactive And Apparent Power Power Factor Electronics Textbook
Poisson Distribution Wikipedia

Principle Of Data Reduction Pdf Free Download

Extra Help Midterm1

Section Iii Gaussian Distribution Probability Distributions Binomial Poisson Ppt Download

Hi Professor If I Want To Get Q I Need To Mix Gsoe9210 t3 Webcms3

Distributed Pregel Based Provenance Aware Regular Path Query Processing On Rdf Knowledge Graphs Springerlink
Solved 3 A A Point Charge Has Q 1 0 Coul Consider Po Chegg Com

Pdf A Tale Of Snarks Quantum Resilience Knowledge Extractability And Data Privacy Un Recueil De Snarks Securite Quantique Extractabilite Et Confidentialite Des Donnees Semantic Scholar
Solved Object A Has A Charge Of 2 Mu C And Object B Has Chegg Com

Geometric Projection Twin Support Vector Machine For Pattern Classification Springerlink
If Q Mu C And L 60 Cm What Is The Magnitud Chegg Com

The Electric Flux Entering And Emanating Out Of A Closed Surface Are 2 10 3 Volt Meter And 8 10 3 Volt Meter Respectively The Charge Enclosed By The Closed Surface Is

Interferon Type I Wikipedia
Solved Useful Constants K 9 10 9 Nm 2 C 2 Charge Of E Chegg Com

Bipartite Matching By Dr M Sakalli Sources Levitin

Solved If E1 4 0 V E2 12 0 V R1 4 Ohms R2 12 Ohm Chegg Com

Coding Decoding Practice Questions Ppt Download

Image 25 Of Puel S Phonetic Method The Language Of France Library Of Congress

Solved 7 If E1 4 0 V E 2 12 0 V R 4 2 R2 12 2 C 3 Au Chegg Com
The Point From Times Atimes1s See How To Solve It At Qanda

Chapter 5 Demand And Consumer Behavior

Solution Worksheet One Electrical Potential

John Zoller Pastor Of Mount Hope Baptist Church In Ashburn Va

Stock Loans Xun Yu Zhou Department Of Systems Engineering And Engineering Management The Chinese University Of Hong Kong 1 Pdf Free Download

Solved Co View Zoom Add Page Insert Table Chart Text Shap Chegg Com
Permeability Electromagnetism Wikipedia

Explain The Experiment Has Nows From A To B Work Va E Q E On Q Whjle Going Science Effects Of Electric Current Meritnation Com

A Circuit Has Section Ab As Shown In Figure The Emf Of The Source Equals E 10v The Capacit Youtube
1 Four Charges Equal 10o Are See How To Solve It At Qanda
34 Lt3s Very Inconvenient Lihat Cara Penyelesaian Di Qanda

Solved Points A At 2 3 M And B Lat 5 7 M Are In Chegg Com

Logic Worksheet
Solved 3 A A Point Charge Has Q 1 0x10 Coul Consider Chegg Com

Vector Field
Complete The Following Di Lihat Cara Penyelesaian Di Qanda

A Small Ball Having Charge Q Is Suspended From A Weightless Inextensible String It Is Placed In A Region Of Uniform Electric Field E 3 10 4 Nm 1 As Shown In
Two Point Charges Qa 3µc Are Q8 3µc And Located Cm Apart In
Yyrkzambflg9gm
A Circuit Is Constructed With An Ac Generator A Resistor Capacitor And Inductor As Shown The 5 5111 0 Generator Voltage Varies In Time As E Course Hero

Routh Reduction For First Order Lagrangian Field Theories Springerlink
Beta Distribution Wikipedia

Usage Notes For The Hadamard Package Paley S

18 Faraday 3 Franklin 4 E Mu Of Charge Two Identical Small Bodies Each Of Mass

2 Derive An Expression For Charges Together As Indicated In Fig 28 28 Below Each Side Homework 4 3 1 1721

Work And Heat Owhen An Object Is Heated And Its Volume Is Allowed To Expand Then Work Is Done By The Object And The Amount Of Work Done Depends Generally Ppt

Chapter3

T9gz4uuznwhxam

Pdf Free Download

Definition A R V X Has A Normal Distribution With Mean µ And Variance S 2 Where µ R And S 0 If Its Density Is F X 1 2s 2 Pdf Free Download

Solved K Ular Compo Quiz Electric Potential And Electric Chegg Com

A Small Ball Of Mass 2 10 3 Kg Having A Charge 1 Mc Is Suspended By A String Of Length 0 8m Another Identical Ball Having The Same Charge Is Kept At

Test 2 Version A Answers Discrete Structures Cmsc 250 Docsity
Final Assessment Marketing Business

Mean Expected Value Of A Discrete Random Variable Video Khan Academy

Mu On Mu Is A Negatively Charged Q E Particle With A M
Express The Following As An E See How To Solve It At Qanda
Physics Page In Mathematics A Gaussian Function Often Simply Referred To As A Gaussian Is A Function Of The Form F X E X B 2 2c 2 For Arbitrary Real Constants A B And

Solved Part A Ball A Has A Mass Of 3 Kg And Is Moving Wit Chegg Com
Beta Distribution Wikipedia

Discrete Mathematics Unit 1 Set Theory And Logic



