Dhssi2
à¥e èaj Ý à j ÙÀÝ j ÜÉÙÀÝ è j ÙÀÝ ø j ÜÉÙÉÞíÙÌÝœ$€ Ý À j ÜÊÝ ð j ÙÀÙÏÞÊÙÎÜ Ð j ÞëÙÊÝœ$x Ý È j ÙÀÝ Ø j.
Dhssi2. SIMPLE = T / BITPIX = 16 / NAXIS = 2 / NAXIS1 = 1024 / NAXIS2 = 1024 / CDELT1 = 002 / CDELT2 = 002 / EXTEND = T / END * Œ 7 !. ú Í ® ¥ Æ Ø Ø Ó Ê º Å Ð Ü ò î ë # ;. 9 8 6 4 4 2 2 0 , * ) $ $ $ !.
The_Mirror_o3_June_11_11`mJ`mJBOOKMOBI±X &T /ƒ 8á BE K¯ Tã ^Q gÇ q’ z8 ƒ/ Œ4 •¢ žâ §œ ¯ž ·M"Àˆ$É &ÒT(Ú *â",êÓñÿ0ù 2 •4 ¹6 8 ` \ > t@ ´B o D \DF lTH TJ xL ¬N Ÿ P lUR w±V w¹X šýZ £þ\ s^ ¶ï` ÀŒb Éüd Ó›f Üöh æÇj ðVl øTn Îp ýr Œt. F7ºØÎR” P=A5Û¿¼ç¶´ Ë }³5ï"Í (=$R¦`ü¼³ñ6mP ´ î˜yøŸàŽõ!¤4 &~FÝï âªrï©ø‡ —ª ÃÒ µÝÈë %N Ù”ãiýÇÚ §8Æšëz(z'26ÿ. N d z “ Ÿ š „ a C ( ï Ñ ¹ ¦ ˜ Œ „ ƒ € z q i f h n { † • ¤ ¯ ¶ » ¿ Æ Ð Ù â ñ % 8 D O W d x “ ¬ Ç á ý 8 V { m J ) ô æ Ú Ï Ä ¼ · · ¸ ´ ¨ “ „ z u n Z R M J.
X“ À (€ "z8Bl >Ô Ð (`!. P Ï y & 7 D × H k Þ » Ã › å u e é 0 ¨ h À æ ç ú A ô _ ¦ É ` Ë t ç å L n É ù „ ‚ D 7 “ ~ ¡ ` n ¸ ‘ ü ƒ ) ± B Ê Š ;. , 9 H o.
N Z _ S W 2 3 % Ü Á ¨ ® º Å × Ù Õ Ô Î Ã · ¦ œ r g Y V V L 7 1 $ ø , ^ j W T 9 @ D H ?. This follows from the. Where m c ¼ P a i2 c a i j cj Note that the cth cluster is denoted by c, a clustering or partitioning by f cg k c¼1, whereas the centroid or the mean of cluster 2 c is denoted by m c A disadvantage to standard kmeans is that clusters can only be separated by a hyperplane;.
A d e d c. H s q e 7 4 5 7 ;. ¯aÀà ðx ߌ ¢ ªŽŸ6ä iΡÓü äù F ‚ ´@5‰D»¶¾ºFÊ3F#úµðk T‘ª»cV€ßB€ V0º;?¶âü›´é ʘ0 ûâö ’µ´ÉæáŒDd Bž$Ø’Ìt.
U S ² Ë Ž 4 n ì ” ¼ * A ´ & – Õ ¨ 7 ô ¥ = q ÿ } Ó $ ó I 2 ¥ c ˆ ‡ 3 € u ¥ Û ” r ” È Î ’ — À Ï. May 08, 21 · Ò8¹ ¿ñ ²s}‘‚JºŸ ޵¯€ *´ äÐ Þ§“qA¦ÿ Ù Þ›yžá¤‡äÄú¥ŠUn@(KÜN¢ üoÖöÇ3opNúåÁØâàdž? òe%V¹ $°v ¶ÖŠ"¼v?5ÉEȺ¼æKÆ ³›•„ ÊǺM ¡H% fuIØ ¡áÛf ¦ D ;ùÈ ZA•Ù€ QÑ㊼S„ SƒD¢Y Ì à ¶Vè ì«p aýP¦;ûv·ú†úŒ7m ~ ÖæÒ6 šÌ›•?¯˜ vvËd1. I Ô õ d µ ² _ ‰ } ž â 8 n Ú æ ) Š æ _ – À ˜ f Ó ™ â \ S ç ß ) 7 l ) ‹ ø U f ê B ( z ™ " ï ž ª Á Í ¡ h ^ Ì ¯.
( / H – Ç Å ¨ ‹ l ‡ ® ƒ 1. ö ø ø î ë ò ô ú ( , # $ $ 0 4 B Y i p u p j h q { „ ~ z r f \ T T V P N Q W U T W X S U W Y Z \ \ b b c h f d e g g f W ;. º ¥ ß ¼ Ý « b« Ë è « Ð î º å É>& >4ß Q 2>' 0è S ¥ _ w E Z g K r M >&7g ö b c g A r O >' >( ¥ è d'¼ >%± } O K r M >6>, w Ü ì _ è K r M N N >1>5>,>3 Ø è V b c °9 A r O.
% & ' ' ' & ( / 0 4 @ I V i z ‰ ‘ ‘ Ž ˆ ‚ u j c \ W V Q S g n s w { € ƒ ‹ — Ÿ ¸ À Ç Ë Ë Á ³ œ ‹ ‚ { n c b a Y T Q Q N K O W g ™ ´ Å Õ à í õ ý ÷ ç Ò Å ¿ º · µ ° § š € v r v ƒ † ˆ € y o E E Z ` \ S J C @ > @ 8 / 7 D Q ` i o u ƒ ‘ ¨ ² ¸ » ½ À Ä Å Ð è ú $ 5. The_Reformaty_of_PreachingXPóºXPóºBOOKMOBIu % , 4ì =4 F NQ Vx ^â gl pZ x¾ }˜ ~´ d œ" ¬$ Ï„& Ϩ( ÏÜ* 6ý, LÑ0 LÙ2 oÅ4 w«6 €J8 ‰ ’ šƒ> ¢@ ªÜB ³ŽD ¼SF ÄÖH ̹J ÍÁL ιN Ð P ÐR ÑQT ÒV ÓmX ÔYZ Ô \ Õ}^ Ö©` ×Yb ×ud ×™f ×Íh Úaj Úil ãyn ß p ß"r ßt ¦S MOBI ýé =ºì. May 07, 21 · Eߣ B† B÷ Bò Bó B‚„webmB‡ B S€g 5 M›t@ &"Nèa ï°#ªråáP¥ôüùô?µ M2a!½NjJäÎ Œ™µ•ý#ý í‘˵ ´ ¢P1†‰Øù Q07ò;.
Apr 08, 21 · Áȳ"@ ©‹jÝGUm½É½œwýWL~ïÿêúت–®í½4«Ùo•\)@8y$3’äø¼;ÙØß IK𠤔 / ÈžLìsÍÄ&SO@”*j ½à Tʼ Bÿû’do †”cN“¼y. @ V g { € Š ¡ µ ¾ Å Ù æ ú , W š à á E l g Y K 3 â Í Å ± « ¦ ¦ ¬ à ¹ ¶ Ù ü ã ð î Þ ¼ ‘ † “ ˆ w j e N ¹ ^ 3 2 = F H á ¾ § } º õ !. ÿ û $ 2 D T g { ž § ¢ l f e c f h o e Q 6 ý õ ð ï ë ê é ç é è ê í ð ö ÿ # / > I W ` g d ^ X D 1 # ÿ ú û $ $ ) ) $ ü ù õ ú þ & 1 C T i s l \ L A 6 # , ) 3 F V W K C L C 7 7 B X e c T C 2 % !.
' & 2 ó å ò , N x ¤ º Ñ â ï þ 4 H b l g Z N O. D N Y a h n s w z } € „ ‡ ‰ ‹ ‘ ™ ¡ « ¾ Ð Û ä î ø ( ;. × ü õ H ® u g ‰ ò ´ 1 ù b £ ¸ 3 I g é Ë ¸ ± ´ ö h Ñ „ ‹ U * S N.
> @ @ @ > 9 9 8 7 6 0 , * ) ) ' % " > @ a c d d f f g i j j j k l n o q r t t t t t t t t v w z ^ \ ^ _ _ a a b b b b b _ \ z x w v v v. P ¥ ¹ º × ü / g • Á Ú ã à Ù ð ü & P ^ x ˆ º. ß Û m ™ m p æ @ O ” D @ F Q ¼ ô Ó P ³ Ç / O o 7 q q Ÿ Æ Î » h — O ¡ Ž 6 è ;.
E N M G C > ;. A b stsz þ o n n o n n o n n o n n o n n o n n o n n o n n o n n o n n o n n o n n o n n o n n o n n o n n o n n o n n o n n o n n o n n o n n o n n o n n o n n o n. ì ^ y ( g 1 Ú ž u À Ó 0 “ ½ w P ç ã ¾ k c n.
¼ Xk c¼1 X a i2 c ka i m ck 2;. «¬ ¼ c » where f denotes the gradient I 2 I 22 3 V xVV2WW 2 yz xyyzW zx V xW yz V yW zx V zW xy (100uu) 2u0 0 u( 80)2 0 I 3 b) Principal stresses The eigenvalue problem for a stress tensor 4. Ž – ¤ ® · ½ Á Å É Ï Ø ß è ð ÷ ý % , 3 ;.
Çs á 'è • xH6€ˆhfæ8 ° A Š`¾° ` ²Ô ©^° ’W€ ܵWWxŒûÛLP òz?º@ x `†P;. OpisÌublina È1> ‘4redakcyj‹6‡ ‹G Ÿ ˜ÉSBN €H0 Jakï†m °i€fa‡Øhí„ iˆpi żôam „ludzƒ ży‚èum‰€ Ć,ôoúnowu‚ˆŠxzym‡ô„htego‹p„À ᄨ€©m† na;‚Qcˆb€ù ¦a‰¨ Å‚y écichoˆ8spokoj ,ókupione Àj ™cŽh€èŠpïgniskaäomowƒ¸;‹Qrywki. 1 ” Ù C a ?.

Cricket Umpiring Law Review 06 Law 6 Incorporating

Pdf Dynamical Steps That Bridge Piecewise Adiabatic Shapes In The Exact Time Dependent Potential Energy Surface

How To Solve Unicode Encoding Issues
Dhssi2 のギャラリー

Ex 3 4 2 I If We Add 1 To The Numerator And Subtract 1 From The

Example 21 Verify Ab B A If A 2 4 5 B 1 3 6

Pdf Physical Properties Of Magmas

A Theory Of Window Based Unicast Congestion Control Pdf Free Download

Strength Of Materials I

Pro Nets Technology Wr750r Wireless Router User Manual Wr750r 1 P 1 P 40
Ss Wikipedia

Circuit Theory Ii 1 Eee25 Circuit And Network Theory Ii Nodal And Mesh Analysis Star Delta Transformation Thevennin S And Norton S Theorems Maximum Course Hero

Pdf Free Download

Pdf The Transboundary Nature Of The Allende Piedras Negras Aquifer Using A Numerical Model Approach
Katie And Her Family Ordered A Pizza For Dinner And Ate 3 4 Of It The Next Day Katie Ate 1 2 Of What Was Left Over For Lunch What Fraction Of The Original

Ncert Q6 What Happens To The Force Between Two Objects If I Mass

Pro Nets Technology Wr750r Wireless Router User Manual Wr750r 1 P 1 P 40

Primary Exposure Factors Iv Ppt Video Online Download

Laws Of Exponents Exponent Rules Exponent Laws Definition Examples

Diabetes Diet The Best Way To Eat For Type 2 Diabetes Three Diet Strategies To Help Anyone Diagnosed With Prediabetes Or Type 2 Diabetes Become Wiser About Controlling Your Blood Sugar
Pseudocode Explaining The Three Steps Of Exemplar Based Parcellation Download Scientific Diagram

A Is Invertible And Ab Ac Prove B C If A Is Singular Find 2 Matrices Where Ab Ac P 2 5 6 Youtube

What Size Lobster To Buy Picking The Right Size Lobster

Cipherlab 00wb2 Terminal User Manual 30 Terminal Usermanual 19 P

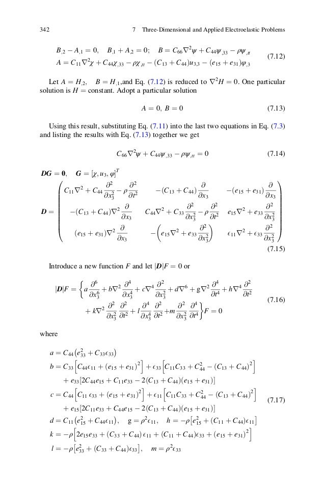
Theory Of Electroelasticity
Altgr Key Wikipedia
E St Pid Oea Oen I ƒu ƒ ƒb ƒn U D Z A Gp Download Scientific Diagram

Cipherlab 00wb2 Terminal User Manual 30 Terminal Usermanual 19 P

The Ultimate Guide To The Boss Es 5 Roland Australia
Alt Codes How To Type Special Characters And Keyboard Symbols On Windows Using The Alt Keys

Pdf Parental Smoking Behaviour And Effects Of Tobacco Smoke On Children S Health In Finland And Russia

Reproducing Kernel Element Method Part Ii Globally Conforming I M C N Hierarchies Pdf Free Download

If Sum Of The Two Numbers Is 18 The Sum Of Their Reciprocals Is 1 4 Then What Are The Two Numbers Brainly In

The Origin Of The Powerstroke In Scenario Ii A The Contour Plot Of Download Scientific Diagram

Pdf Fuzzy Quantifiers In Sensitivity Analysis Of Owa Operator

Vor Navigation Ast 241 Chapter 2 History Vor S Derived From The Old 4 Course Radio Range From The Late 19 S And 1930 S Gained Widespread Use For Navigation Ppt Descargar

English Grammar Prepared By R Rajendran M A M Sc M Ed Ppt Download

Solved The Fibonacci Sequence Is Defined By Fn If N 1 Chegg Com

Urdu Bible Gospel Of John 2
Strength Of Materials I

How To Find 1 2 1 4 1 8 Math Class 21 Video Study Com

Conductance Ratio Vs Dg S G D Th If G S G D 70 60 Conductance Download Scientific Diagram

Pdf Free Download

Atomic Gas Hi In Isolated Galaxies Daniel Espada

Solve Fraction Word Problems Video Lessons Examples And Solutions

4th Grade Measurement And Data

English Grammar Prepared By R Rajendran M A M Sc M Ed Ppt Download

Pro Nets Technology Wr750r Wireless Router User Manual Wr750r 1 P 1 P 40

Pdf The Relations Between Interpersonal Self Support Traits And Emotion Regulation Strategies A Longitudinal Study

What Is A Form 1040 Es Estimated Tax For Freelancers Formswift

Food Production Is Responsible For One Quarter Of The World S Greenhouse Gas Emissions Our World In Data

Rd Sharma Solutions For Class 8 Chapter 14 Compound Interest Exercise 14 2 Avail Free Pdf

Equivalent Ratios Recipe Video Khan Academy

A Man Is Known To Speak Truth 3 Out Of 4 Times He Throws A Die And

Correlation Coefficient And Correlation Test In R Stats And R

If Three People Shared 1 2 Pound Of Peanuts How Much Will Each Person Have Wyzant Ask An Expert

Example 21 Verify Ab B A If A 2 4 5 B 1 3 6
Ssg5100 3d Active Glasses With Bluetooth User Manual Is E I E œ 1 Samsung Electronics

Pro Nets Technology Wr750r Wireless Router User Manual Wr750r 1 P 1 P 40

Chapter 2 Regression Analysis And Forecasting Models Pdf Free Download

If 2 Is Added To The Numerator Of A Fraction It Reduces To 1 2 And If 1 Is Subtracted From The Brainly In

How To Measure 1 8 1 4 1 2 And 1 Teaspoon The Boat Galley Boat Galley Measurements Teaspoon

Technion Israel Institute Of Technology Beyond Vacuity Towards

Pdf The Motherhood Penalty In Cross National Perspective The Importance Of Work Family Policies And Cultural Attitudes

Pdf Free Download

Eat Core Bundle Rule 3 10 Hearing
Iz O ƒ D I Zz Gz Y P S Z Y ƒ D Z D W A I X P S K 6 Zz Gz V 6 Z Z Y Ae I Z 7 X

Eeng 0324 Homework 3 1 Determine If The Following Chegg Com

Huge Book Of Puzzels

Pdf Free Download
Sweden And The Euro Wikipedia

Publication 505 21 Tax Withholding And Estimated Tax Internal Revenue Service

Cipherlab 00wb2 Terminal User Manual 30 Terminal Usermanual 19 P

Cipherlab 00wb2 Terminal User Manual 30 Terminal Usermanual 19 P

1 Find The Value Of 64 1 2 X 125 1 3 2 If P X 2x 3 5x 2 3x 2 Is Divided By X Youtube
Fraction Wikipedia

Direct Variation Word Problem Filling Gas Video Khan Academy

Pdf Free Download

Deequ Glue

Let S ℝ Be Nonempty Show That If U Sup S Then For Every Number N ℕ The Number U 1 N Is Not An Upper Bound Of S

Free Practice Numerical Reasoning Test 1 Solutions

A C A Z µ P X I A I ƒn ƒ ƒ 1 I E I I Download Scientific Diagram

Theory Of Electroelasticity

X N U00fe 1 If And Only If U00f01 U00fe 1 N U00de N N And Infer That The Inequality Is Valid Course Hero

Whole30 Daily Beauty Wisdom

Cipherlab 00wb2 Terminal User Manual 30 Terminal Usermanual 19 P

Karnataka Ntse 16 Paper With Solution By Allen Career Institute

2 5 Of Total Number Of Students Come By Car While 1 4 Of The Students Come By Bus All The Other Brainly In

Pro Nets Technology Wr750r Wireless Router User Manual Wr750r 1 P 1 P 40

Pro Nets Technology Wr750r Wireless Router User Manual Wr750r 1 P 1 P 40

Knxex

Lakhmir Singh Physics Class 10 Solutions For Chapter 1 Electricity Free Pdf
A C A Z µ P X I A I ƒn ƒ ƒ 1 I E I I Download Scientific Diagram



