Ko2 U Wiki
In physical chemistry, Henry's law is a gas law that states that the amount of dissolved gas in a liquid is proportional to its partial pressure above the liquid The proportionality factor is called Henry's law constant It was formulated by the English chemist William Henry, who studied the topic in the early 19th centuryIn his publication about the quantity of gases absorbed by water, he.
Ko2 u wiki. Esta página foi editada pela última vez às 23h42min de 9 de março de 21 Este texto é disponibilizado nos termos da licença AtribuiçãoCompartilhaIgual 30 Não Adaptada (CC BYSA 30) da Creative Commons;. Feb 09, 10 · This is a list of file signatures, data used to identify or verify the content of a fileSuch signatures are also known as magic numbers or Magic Bytes Many file formats are not intended to be read as text If such a file is accidentally viewed as. D þú½¤æ˜çþ1»¡, îƒ/µá FB£5j‘‹‚ ¡ ¢ ƒü4 èD ($f Á™ý h"&rÑ ¤ —0Ëäv GÙ ì2 Ê øÆ&¹ÊàÛ68M!ÀÁ Ïq!†õý Ö` l Ì 9(% e”fI.
PK ˲íP i/PK ˲íP i/templates/PK › Ae ‰c i/templates/cautgifUS¹Ï P ∣ W$(6’OBA$ #$4 ü Z ÖU蔟 ÙJGÅÒRHd;. ÉsDGtDGtDGtDGtDÇs >@ € > "¢™«°¸ÀÈÐØàèðø OggSî œu ìz y ¤indexö ‘ è PªsË€i5 h h™0“ ¤@ C Ÿ”LT ”Ye¦™3. Pode estar sujeito a condições adicionaisPara mais detalhes, consulte as condições de utilização;.
, "/ 01 2 3 ) v na 1 hia&dkc R C in out 2N3904 (diode connected) ª&o2 9 s ± Ð Ã,su~ v 9 6s} su }( / H} m ozp p(su 4} o2 9 ` ¨¤/ / Hrxozyzy¬{¨s'oz 8 /sup }(oz 9~ }(oz.
Carbon Dioxide Wikipedia

Jparsec Wiki

Fb1zdbetnk4hem
Ko2 U Wiki のギャラリー
Ribulose 1 5 Bisphosphate Wikipedia

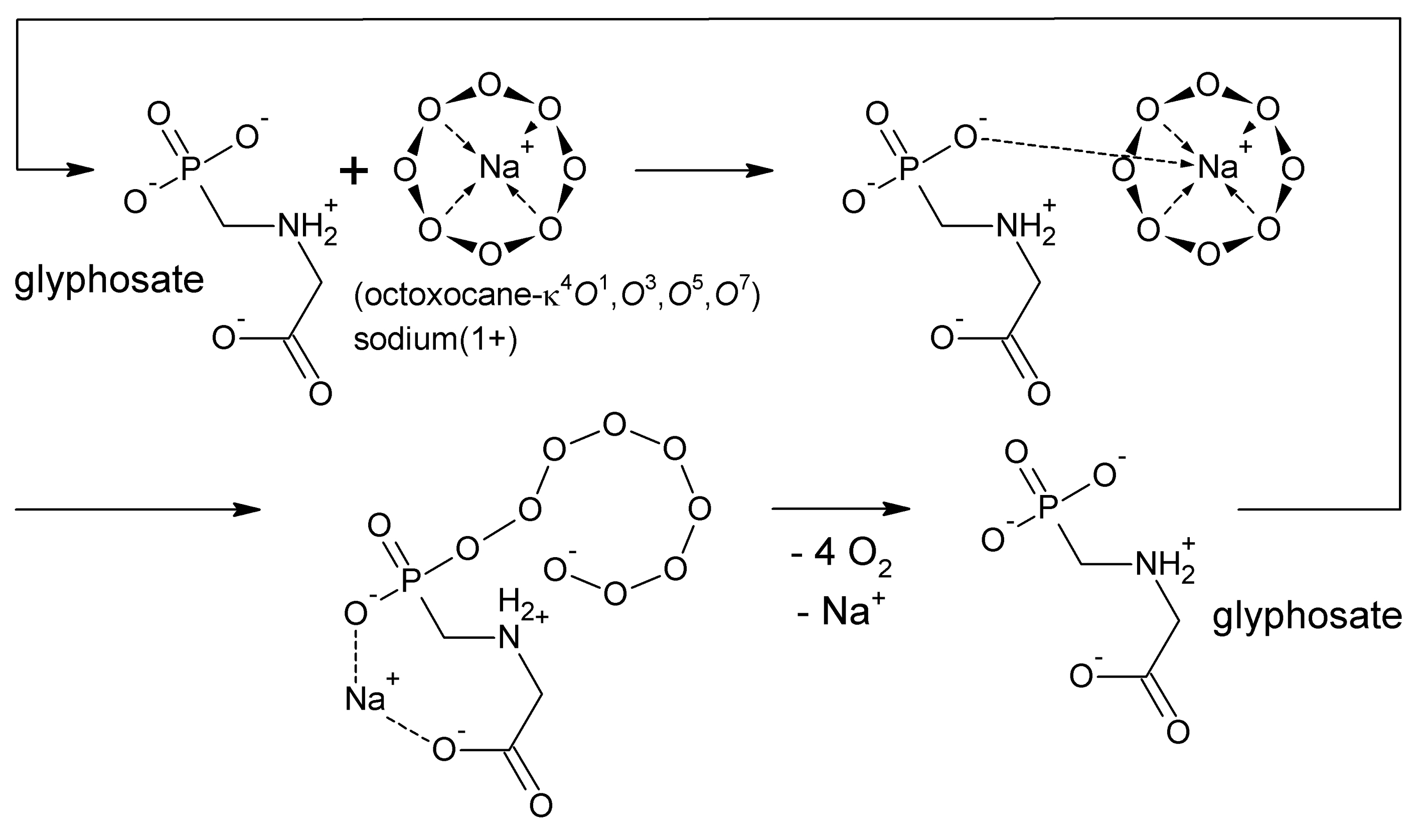
The Spermine Phosphate Bound Cyclooctaoxygen Sodium Epigenetic Shell Of Euchromatin Dna Is Destroyed By The Epigenetic Poison Glyphosate V1 Preprints
Subscript And Superscript Wikipedia
Sky Uk Wikipedia
Chemical Symbol Wikipedia
Distillation Wikipedia
Acinetobacter Wikipedia

One For All Mathijs Urc39 Manual Languages
Noble Metal Wikipedia
24 Season 3 Wikipedia
Rna World Wikipedia
Gas Cylinder Wikipedia

Catalysis Wikipedia

Nier Automata Nier Wiki Fandom
1 2 3 4 6 Pentagalloyl Glucose Wikipedia

Wikitubia Fandom

Kcna3 Wikipedia

Ficheiro Igreja Do Rosario De Natal Rn Jpg Wikipedia A Enciclopedia Livre
Yui Hirasawa K On Wiki Fandom
Noble Metal Wikipedia

Underpast Au Wiki Undertale Amino

Aman2638

Table Of Contents The Xcl Project Manualzz

Panasonic Dmr Eh56 Eh55 User Manual To The 0522ff64 155d 41a7 A841 D5fddfd79a

Wikimedia Commons Wikicommons Twitter

Tmnt Wikipedia Titles Wiki Tmnt Twitter
Mitochondrial Matrix Wikipedia

Fb1zdbetnk4hem

Stan World Thank You Very Much For Your Patience We Have Finally Managed To Track All The Votes Since The Top5 Announcement We Changed Our Software And Eureka You

Into The World Of Gaming Consoles By Manthan Dave Issuu
Baldwin Effect Wikipedia

Wikipedia Wikipedia Twitter
Nokia Multi Concept Mx Chassis Service Manual Www S Manuals Com 100hz 43 Manual
Greenhouse Effect Wikipedia

Twistedtale Fabletilt Undershift Wiki Undertale Amino

File Ulica Vasilija Kovacica02 Jpg Wikimedia Commons
Wormbrowser E6aa14af Virtual Worm February 12 Utf8 At Master Openworm Wormbrowser Github

Gsmvrk Manual

Oxygen Cycle Wikipedia

Haplogroup O M176 Wikipedia
Apikit Odata Example Example Sql At Master Mulesoft Apikit Odata Example Github

Con Page 3 Connie Savage Art

The King S Man Wikipedia

Autism M

Jparsec Wiki
Manual Ccxt Ccxt Wiki
Haplogroup K Mtdna Wikipedia

Flora Oc Wiki Undertale Amino

Subscript And Superscript Wikipedia
Trans 3 Methyl 2 Hexenoic Acid Wikipedia
Three Uk Wikipedia

Nitrate Wikipedia

Xii Physics Pages 301 350 Flip Pdf Download Fliphtml5
Pythagorean Theorem Wikipedia

Yui Hirasawa K On Wiki Fandom

Elementos Quimicos Wiki Pd496gyxo149

Wikipedia Wikipedia Twitter

1 3 Bisphosphoglyceric Acid Wikipedia

One For All Mathijs Urc39 Manual Languages
Sustainable Development Goals Wikipedia
Ozone Layer Wikipedia

Yui Hirasawa K On Wiki Fandom

Telephone Numbers In The United Kingdom Wikipedia
3 Hexanone Wikipedia

The Lion King Wiki Thelionkingwiki Twitter

Jparsec Wiki

Rebreather Fallout Wiki Fandom

Jparsec Wiki

Jparsec Wiki
View All Attachments For Bug 606
Pdf Mining Wikipedia Knowledge To Improve Document Indexing And Classification Bashar Tahayna Academia Edu
Tablet Computer Wikipedia
Ficheiro Outro Baoba Na Quadra 716 Norte Em Brasilia Jpg Wikipedia A Enciclopedia Livre

Category Class 3 2 Students K On Wiki Fandom

Wikipedia Wikipedia Twitter

Dvd Service Manual Wiki Karat Manualzz
Respiratory System Wikipedia
Thermal Decomposition Wikipedia
Manual Ccxt Ccxt Wiki

Jparsec Wiki
Siegbahn Notation Wikipedia

Category Class 3 2 Students K On Wiki Fandom

Xpotp8pmv8quwm

Computer Case Wikipedia

Carbon Cycle Wikipedia

Elementos Quimicos Wiki Pd496gyxo149
File Spider Ild02 Jpg Wikimedia Commons

Transformers Wiki Tfwiki Twitter

Tmnt Wikipedia Titles Wiki Tmnt Twitter

Pdf Molecular Architecture Of The Mouse Nervous System

Staphylococcus Wikipedia
Portal Climate Change Wikipedia

Triuranium Octoxide Wikipedia
List Of Counties In Indiana Wikipedia

02 Arena Wiki Novocom Top
Thylakoid Wikipedia

Aurora Rising The Aurora Cycle Wiki Fandom



