Let A A B C D E F B C D E G And C B C F G Be Subsets Of T

Primizie Di Canto Fermo N E Z G A O 32 Cr G D G G P P 3 Gt G Rr Ieeee G G U I 32 Rs 5 I G

The Value Of P And Q For Which The Function F X Sin P 1 X Si
Vv Cxg Q のギャラリー

Kv Cv Flow Coefficient Valvias

What Happened To All The Jobs Trump Promised Propublica

The Difference Between Max Q And Max P Nvidia Geforce Laptop Graphics Pc Gamer

What Is A 25 Wt Solution Of Tetramethylammonium Hydroxide In Methanol Mean
C Span Org National Politics History Nonfiction Books
Q Wiktionary
Q Function Wikipedia

Greedy Algorithms General Principle Of Greedy Algorithm Ppt Download

Sets And Venn Diagrams

G A N C I N E B A

Double Deep Q Networks Tackling Maximization Bias In Deep By Chris Yoon Towards Data Science
Ia Iuprree1r M
Error Function Wikipedia

What Every Computer Scientist Should Know About Floating Point Arithmetic

Q Function Wikipedia

Chi Square Goodness Of Fit Example Video Khan Academy
Cyclotomic Polynomial Wikipedia

Eigenvalues And Eigenvectors

Extraneous Solutions Video Equations Khan Academy
Pdf Solution Manual Fluid Mechanics 4th Edition Frank M White Rocha Antonio Academia Edu
Q Function Wikipedia
V Wiktionary

Il Socrate Immaginario V Vm Mil Iy Voi Iri V Nlh I 4 O S Wlnoca Iaa Cx Tl Im Gv Iooa Bxju I R 33e Lt T Jttxt R 3ft Stzz Se Ax B A

C C C In V V V Taylor Swift Blank Space Youtube
Jyryd Papjujqm

Sm Fluid Mechanics Frank M White 4 E Chapter 6

Honda Hr V Vs Honda Cr V Which One And At What Price Driving

What Every Computer Scientist Should Know About Floating Point Arithmetic

Olimpiade Drama Seria M4 I I 7 Lt Kto U Ih T Vi Li S I J E N M I V L L V V

Comparing Q Vs K Example Video Khan Academy
All Inclusive Calculations In Physics Refraction Waves
Enthalpy Wikipedia

History Of The Solar Nebula From Meteorite Paleomagnetism Science Advances

Q Versus T Graph Wyzant Ask An Expert
W Wiktionary

What Is The Difference Between The G And The Rpm In Centrifugae Machine Is It Same Or What Does It Have Any Specific Formula For Conversion
Q Das Statistics Hexagon Mi
/COMPOUNDINTERESTFINALJPEGcopy-f248781269194135aa6044e088de7af9.jpg)
Compound Interest Definition Formula Calculation

Metal Oxide Based Materials As An Emerging Family Of Hydrogen Evolution Electrocatalysts Energy Environmental Science Rsc Publishing

Kullback Leibler Divergence Explained Count Bayesie

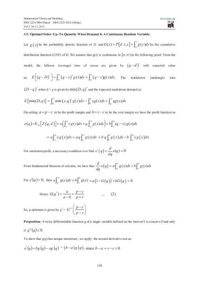
The Newsboy Problem In Determining Optimal Quantity In

Vereit Ex102 Vereit Inc 19 Quarterly Report 10 Q
29 Cfr 1910 10 Hazard Communication Cfr Us Law Lii Legal Information Institute

Eigenvalues And Eigenvectors

Gorillaz Pac Man Ft Schoolboy Q Episode Five Youtube
X Wiktionary
Ventilation Perfusion Scan Wikipedia
/LinearRelationshipDefinition2-a62b18ef1633418da1127aa7608b87a2.png)
Linear Relationship Definition

Pdf Fluid Mechanics White 4th Edition Solutions Gaston P Academia Edu

Determinant Of A Square Matrix
C Span Org National Politics History Nonfiction Books
The Value Of P And Q For Which The Function F X Sin P 1 X Si

Primizie Di Canto Fermo N E Z G A O 32 Cr G D G G P P 3 Gt G Rr Ieeee G G U I 32 Rs 5 I G

Q 2 3 Simplify The Following Boolean Expressions To Minimum Number Of Literals A Abc A B Abc Youtube

Soft Oled Vs Hard Oled Comparing Aftermarket Iphone X Oled Screens Group Vertical Wholesale Replacement Phone Parts

Identifying Horizontal Squash From Graph Video Khan Academy
G Wiktionary

Diario Del Gualdi 1651 1655 Ui Iu U L Jifuju T Lt Cyf Q Fa Xjfffvi Re I I I 3y N Li J Lt G 9 0 Cd 2 M 1 7 Nxjz Vu

Chapter 3c The First Law Closed Systems Diesel Cycle Engines Updated 3 19 13
Solved Let U Q R S T U V W X Y Z A Q S U W Chegg Com

What Every Computer Scientist Should Know About Floating Point Arithmetic

What S New In Intellij Idea 21 1

Fancy Letters ꭿ น ꭿ ℊ ℬ Copy And Paste Unicode Character Table

If F And G Are The Functions Whose Graphs Are Shown Let U X F G X V X G F X And W X G G X Find Each Derivative Wyzant Ask An Expert

Eigenvalues And Eigenvectors
Let A A B C D E F B C D E G And C B C F G Be Subsets Of T
Q Q Plot Wikipedia

Diario Del Gualdi 1651 1655 Ui Iu U L Jifuju T Lt Cyf Q Fa Xjfffvi Re I I I 3y N Li J Lt G 9 0 Cd 2 M 1 7 Nxjz Vu

How To Make And Use Gradients Of Percoll Sigma Aldrich
:max_bytes(150000):strip_icc()/1099g-e5f0e0c9527f418cbd1005d396f6218e.jpg)
Form 1099 G Certain Government Payments Definition
29 Cfr 1910 10 Hazard Communication Cfr Us Law Lii Legal Information Institute

802 1q Tunneling Q In Q Configuration

Stabilizing Nickel Rich Layered Oxide Cathodes By Magnesium Doping For Rechargeable Lithium Ion Batteries Chemical Science Rsc Publishing



