Xpkp2 Xl Ss
Suitable replacement for 3 pin flasher relays with 49 (X), 49a (L) and P Connectors You will need to also connect the earth connection wire Also available with Positive Earth, please select the required option from the drop down menu Connections X = Live In (49) L = Load (to indicator switch) (49a) P = Pilot / Dash Indicator Warning (optional not required for 2 pin configuration) Black.
Xpkp2 xl ss. 2 (MU 27) Let X and Y be independent geometric random variables, where X has parameter p and Y has parameter q (a) What is the probability that X = Y?. 16/09/16 · In this case, calculating $X,P$ is just a matter of putting that operator in front of a wavefunction and seeing what happens $$ X,P\psi(x) = x(i\hbar)\frac{d}{dx}\psi(x)(i\hbar)\frac{d}{dx}\leftx\psi(x)\right $$ Working through the product rule &c (with the details left to you) it's easy to see that $X,P\psi(x)=i\hbar \psi(x)$, so therefore $X,P=i\hbar$ On the. Another installment in KXP’s continuing quest to produce a catalogue highgrade, minimallytitled, rhythmicallyintense synthkraut albums III Pt 2 follows up on last year’s III Pt 1, and was recorded in the same sessions Another dark and immersive ride from these Finns CD release on Svart Limited Vinyl LP £19 SVR450LP Brexit VAT reduction £15 Limited LP on Svart.
Best Sellers Rank 363,437 in CDs & Vinyl (See Top 100 in CDs & Vinyl) 5,937 in Electronica;. T 2 R That is, a bx cx2 = s5 t(32x) = (5s 3t)2tx This gives equations for s and t 5s 3t = a 2t = b 0 = c 06 To solve these equations we use Gaussian elimination again Spanning sets for. Percentage Calculator Step by.
CO2 = P x S x E x C ÷ N There’s another big gap here, though the prosperity represented by S Now we might start with the energy use to deliver those services (E in the Equation) The energy intensity of any given form of prosperity can, I believe, be improved quite a bit;. Solve your math problems using our free math solver with stepbystep solutions Our math solver supports basic math, prealgebra, algebra, trigonometry, calculus and more. Manufacturer Republic of Music;.
Then p = P(X = 1) = P(A) is the probability that the event A occurs For example, if you flip a coin once and let A = {coin lands heads}, then for X = I{A}, X = 1 if the coin lands heads, and X = 0 if it lands tails Because of this elementary and intuitive coinflipping example, a Bernoulli rv is sometimes referred to as a coin flip, where p is the probability of landing heads Observing. Solutions for Chapter 2 Problem 4P Calculate ‹x›, ‹x2› ‹p›, ‹p2›, σx, and σp, for the nth stationary state of the infinite square well Check that the uncertainty principle is satisfied Which state comes closest to the uncertainty limit?. Related Words that end in x, Words containing x Scrabble Words With Friends WordHub Crossword 23letter words that start with.
02/11/13 · KXP comprises frontman Timo Kaukolampi (electronics, vocals and the ‘K’ in the band’s name) plus Tuomo Puranen (bass, keyboards and the ‘P’ in the band’s name) and drummers Tomi Leppänen and Anssi Nykänen (the ‘X’ – for the mystery) While Tomi is a permanent feature of the band and 2 drummer lineup is a studio only affair it has been known to happen live on rare. 04/05/21 · MICAM X is MICAM Milano’s innovation hub that made its debut in February With its seminars, workshops, and innovative hightech proposals, MICAM X keeps dealers in the Fashion industry up to date on the latest market trends, style currents, research into new materials, sustainability and the future of retail This Spring edition of MICAM X goes digital, enhancing the. 23/01/ · Stack Exchange network consists of 176 Q&A communities including Stack Overflow, the largest, most trusted online community for developers to learn, share their knowledge, and build their careers Visit Stack Exchange.
Label Republic of Music;. Transformations can be applied from left to right Ex The graph of f(x) is providedGraph the transformed functions y = 2f(x 3) 1 y = f2(x 1) Ex The point (2, 4) lies on the graph of f(x)What is the value of its. The PX shares some components with the CX, later designated as the twinengined Kawasaki C2, another indigenouslydeveloped aircraft to replace the Kawasaki C1 and C130H Hercules cargo aircraft Although the PX and CX designs were originally independent, it was decided that having common components to both designs would be useful The JDA mandated that the two aircraft.
Write the equation as P(x^3x^2) Q(x2) = 1 Since \text{gcd}(x^3x^2,x2)=1 over \mathbb{Q} the solution exists and can be found by employing the Euclidean algorithm Write the equation as P (x 3 x 2) Q (x 2) = 1 Since gcd (x 3 x 2, x 2) = 1 over Q the solution exists and can be found by employing the Euclidean algorithm How to solve this 3rd degree polynomial?. If f(x) 2 Span(p;q) then f(x) = sp(x) tq(x), for some s;. Share your videos with friends, family, and the world.
15/02/13 · “KXP started after I wanted to stop playing in bands,” frontman Timo defiantly explains The name is also far from the kind of cutandshut job often resulting from a desperate search for originality, using random Wikipedia articles and online band name generators Rather, Timo Kaukolampi – electronics and vocals – is the ‘K’, Tuomo Puranen, who plays bass and. 19/07/10 · Product Dimensions 1273 x 1407 x 076 cm;. Simple and best practice solution for p(p(x))=p(x1) equation Check how easy it is, and learn it for the future Our solution is simple, and easy to understand, so don`t hesitate to use it as a solution of your homework Toggle navigation GetEasySolutioncom Math Solvers Equations solver equations involving one unknown ;.
Search the world's information, including webpages, images, videos and more Google has many special features to help you find exactly what you're looking for. Found 2545 words that start with x Browse our Scrabble Word Finder, Words With Friends cheat dictionary, and WordHub word solver to find words starting with x Or use our Unscramble word solver to find your best possible play!. Kxpbandcampcom iTunes Store GENERAL ENQUIRIES öm/svart tomi@svartrecordscom BOOKING eu/uk Niall O’Regan/Pitch & Smith Ltd niall@pitchandsmithcom finland Toni Ritonen/fullsteam toni@fullsteamfi.
. • ¬∀xP(x) ⇔ ∃x¬P(x) • Replacing P by ¬P, we get ¬∀x¬P(x) ⇔ ∃x¬¬P(x) • Therefore ¬∀x¬P(x) ⇔ ∃xP(x) • Similarly, we have ¬∃xP(x) ⇔ ∀x¬P(x) ¬∃x¬P(x) ⇔ ∀xP(x) 1 Bound and Free Variables ∀i(i2 > i) is equivalent to ∀j(j2 > j) • the i and j are bound variables, just like the i,j in i=1 i2 or j=1 j2 What about ∃i(i2 = j) • the i. S I X P A C K / Q U A D P A C K 11 5 S Y S T E M S T A R T U P 51 System Start Up / Notes When the PACK is supplied with power it runs an internal initialization and a selftest of the internal processorsystem starts If executed successfully a “0“ appears in the LEDdisplay after a second The PACK is operational now and can receive user commands.
Solution(#1031) LetMdenotethetransitionmatrixofafinitestateMarkovchain ThenthematrixMn isthe transitionmatrixconnectingstepttosteptnToseethiswefirstproveitforn. Title Microsoft Word 0403 Félag sjúkraþjálfara LOKdocx Author R09HAKRI Created Date 4/3/ AM. Listen to P i x l SoundCloud is an audio platform that lets you listen to what you love and share the sounds you create Stream Tracks and Playlists from P i x l on your desktop or mobile device.
A good deal heavier and murkier than the electronic progdisco fare sometimes associated with Smalltown Supersound though far from unrelated to that aesthetic KXP are the first fruit of the eponymous project fronted by Opl Bastards' Timo KaukolampiEffectively a synthbassdrums power trio with the slight twist that the lineup alternates between a pair of drummers KXP. Yes, P(X = 1) means "what's the probability that the value of X is equal to 1" and the answer is 1/4 P(X^2 = 1) means "what's the probability that if you take the value of X and square it, it will be equal to 1" What must X be then?. Ss Tt Uu Vv Ww Xx Yy Zz X, or x, is the twentyfourth and thirdtolast letter in the modern English alphabet and the ISO basic Latin alphabet Its name in English is "ex" (pronounced / ˈ ɛ k s /), plural exes History This section does not cite any sources Please help improve this section by adding citations to reliable sources Unsourced material may be challenged and removed.
Explore releases from KXP at Discogs Shop for Vinyl, CDs and more from KXP at the Discogs Marketplace. SPARS Code DDD;. Original Release Date 13;.
Manufacturer reference unknown;. 21/03/15 · $\begingroup$ There are already two votes to close this question as duplicate I don't agree This is a pretty basic topic, one of those that will probably reappear in the future, so it would be good if it had a direct and high quality answer, so we could refer to it in the future. But the idea that E can be dramatically improved without improving the kind of prosperity we’re attempting to.
P/ max = Max(P/(x,y) P/(x,y1)P/(x,i−1 ) P/(x,i)) Where i is the height of the inspection area To improve the efficiency of finding P1 and P2 only the top third of the image was inspected because the semiconducting layer was located towards the top of the image, ie 3 for P 2 , and 3 for P1 h i h y = ≤ where h is the height of the image P3 is the point where the surface changes. Click here👆to get an answer to your question ️ (iii) \( p ( x ) = k x ^ { 2 } \sqrt { 2 } x \) (iv) \( p ( x ) = k x ^ { 2 } 3 x k \) Ol. Let p(x) = 5 and q(x) = 3 2x which we consider as elements of P2 Question When does f(x) = a bx cx2 2 P2 belong to Span(p;q)?.
0 reply X start new discussion Page 1 of 1 Go to first unread Skip to page Quick Reply Submit reply Attached files Replying. (a)Show that this is a probability mass function (b)Write the above distribution as an exponential family, and identify its su cient statistics, natural parameter, and normalizing function (or cumulant generating function or partition function) (c)Assume that we observed X 1;X 2;;X niid random variables from geometric distribution with an unknown. Number of discs 1;.
Get solutions Get solutions Get. Y = a f k (x p) qOrder Shift at the end!. P(X= k) = (1 )k 1 for k= 1;2;.
Th e su b ject of th is p ap er, is re stric te d to th o se of sid es x , x 1, V 2 x 2 2 x l It is o b v io u s th at th e sm allest su ch trian g le h as sid es 3 , 4 , 5 T h e p ro b lem is to find a g en eral m eth o d of seq u en tial p ro g re ss th ro u g h th e fam ily of all. KXP is a trio with a lot of previous Hailing from Finland, they are led by Timo Kaukolampi, whose day job up until now has majored on production, ably assisting Annie in her pop charm offensive His own music, however, and that of his trio, is rather different The three are low frequency specialists, and there is a real ‘drum and bass’ vibe to their music, where the drum is often a. Simple and best practice solution for xp*xp*xp*xp=0 equation Check how easy it is, and learn it for the future Our solution is simple, and easy to understand, so don`t hesitate to use it as a solution of your homework If it's not what You are looking for type in the equation solver your own equation and let us solve it.
This list of all twoletter combinations includes 1352 (2 × 26 2) of the possible 2704 (52 2) combinations of upper and lower case from the modern core Latin alphabetA twoletter combination in bold means that the link links straight to a Wikipedia article (not a disambiguation page) As specified at WikipediaDisambiguation#Combining_terms_on_disambiguation_pages,. QuẬy'ss p'x h'x l'x n'x t'x 19 likes Community. See more of K P X on Facebook Log In Forgot account?.
Or Create New Account Not Now Community See All 1,387 people like this 1,431 people follow this About See All Contact K P X on Messenger wwwKPXcombr Personal Blog Page Transparency See More Facebook is showing information to help you better understand the purpose of a Page See actions taken by the. Problem 95 In Figure P951 below are shown two finite length sequences Sketch their 6point circular convolution x1 (n) x2 (n) p p 0 1 2 3 4 5 0 1 2. 30/09/16 · Stack Exchange network consists of 176 Q&A communities including Stack Overflow, the largest, most trusted online community for developers to learn, share their knowledge, and build their careers Visit Stack Exchange.
MICAM X è l’innovation hub di MICAM Milano ha fatto il suo debutto all’edizione di febbraio Con i suoi seminari, workshop, proposte innovative e tecnologiche MICAM X presenta agli operatori del settore Fashion le nuove tendenze di mercato, tra correnti di stile, ricerca dei materiali, sostenibilità e futuro del retail Questa edizione primaverile MICAM X diventa digitale e. Discover releases, reviews, credits, songs, and more about KXP KXP at Discogs Shop Vinyl and CDs and complete your KXP collection. And so what's P(X^2 = 1)?.
SpaceX designs, manufactures and launches advanced rockets and spacecraft The company was founded in 02 to revolutionize space technology, with the ultimate goal of enabling people to live on other planets. PX = Y = X x (1−p)x−1p(1−q)x−1q = X x (1−p)(1−q)x−1 pq Recall that from page 31, for geometric random variables, we have the identity PX ≥ i = X∞ n=i (1−p)n−1p = (1.
If A And B Are The Zeroes Of The F X X 2 6x K Find The Value Of K Such That A 2 B 2 40 Sarthaks Econnect Largest Online Education Community
Let Alpha And Beta Are The Roots Of X 2 X 1 0 Such That P K

If Alpha And Beta Are The Zeroes Of The Quadratic Polynomial F X X2 Px Q Prove That Brainly In
Xpkp2 Xl Ss のギャラリー

Function Basis And Regression R Bloggers

Designing S Box Based On 4d 4wing Hyperchaotic System Springerlink

If Alpha Beta Gamma Are The Roots Of The Equation X 3 Px 2 Qx R 0 Find The Value Of B Youtube

Pdf Existence Of Solutions For P X Laplacian Equations
Chebyshev Polynomials Wikipedia
Taylor S Theorem Wikipedia

System Reliability Prezentaciya Onlajn

Solved Classical Vs Quantum Three Dimensional Solid Cons Chegg Com

Mathematics Notes

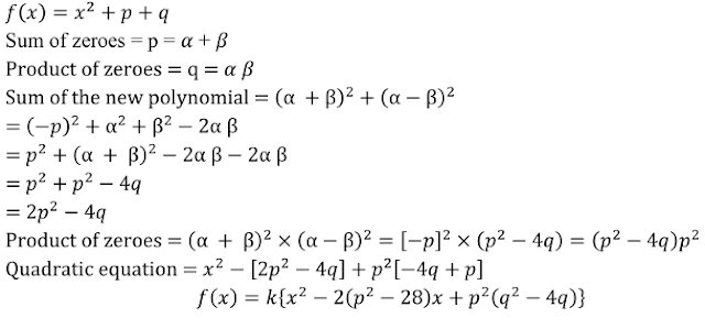
If Alpha Beta Are The Zeroes Of X 2 Px Q Find The Value Of Alphabeta 2 Betaalpha 2
Pdf Stochastic Tail Exponent For Asymmetric Power Laws Nassim Nicholas Taleb Academia Edu

Let P Q Be Integers And Let Alpha Beta Be The Roots Of The

If One Zero Of The Quadratic Polynomial Kx 2 3x K Is 2 Then The Value Of K Is Youtube

If Alpha And Beta Are The Zeroes Of The Quadratic Polynomial F X X2 Px Q Prove That Brainly In

Pycse Python3 Computations In Science And Engineering

Mathematics Notes

The Polynomials P X Kx 3 3x 2 3and Q X 2x 3 5x K When Divided By X 4 Leave The Same Youtube

If P And Q Are The Zeroes Of F X X2 5x K Such That P Q 1 Find The Value Of K Youtube

Some Identities Involving Gegenbauer Polynomials Topic Of Research Paper In Mathematics Download Scholarly Article Pdf And Read For Free On Cyberleninka Open Science Hub

Berinde Type Generalized Contractions On Partial Metric Spaces Topic Of Research Paper In Mathematics Download Scholarly Article Pdf And Read For Free On Cyberleninka Open Science Hub
If A And B Are The Roots Of The Equation X 2 X 1 0 Then A 09 B 09 Is Equal To Sarthaks Econnect Largest Online Education Community
Chebyshev Polynomials Wikipedia
What Is The Value Of P For Which The Equation X 2 X 3 P Has Roots Which Differ By 2 Quora

Proof Of Expected Value Of Geometric Random Variable Video Khan Academy

Basic Mathematics For Economists

If The Roots Of The Equation X 2 Px Q 0 And The Roots Of The Equation X 2 Qx P 0 Youtube
Chebyshev Polynomials Wikipedia

Ex 3 2 21 The Restriction On N K P So That Py Wy Is

Semana 01 Analisis Dimensiones Primera Edicion
If Alpha Beta And Gamma Are The Roots Of The Equation X 3 Px Q 0 Then The Value Of The Determinant Alpha Beta Gamma Beta

If Alpha And Beta Are The Zeros Of The Quadratic Polynomials F X X2 Px Q Find The Value Of Alpha Brainly In
Chapter 2 Polynomials Rd Sharma Solutions For Class 10 Mathematics Cbse Topperlearning

If Alpha And Beta Are The Zeroes Of Polynomial Kx2 4x 4 Such That Alpha2 Beta2 24 Find The Value Of K Brainly In

If Math Alpha Math And Math Beta Math Are The Roots Of The Equation Math X 2 P X 1 Q 0 Math Then What Is The Value Of Math Frac Alpha 2 2 Alpha 1 Alpha 2 2 Alpha Q Frac Beta 2 2 Beta 1 Beta 2 2 Beta Q Math Quora

Pdf Products Of Admissible Monomials In The Polynomial Algebra As A Module Over The Steenrod Algebra

Ejercicios Y Problemas Resueltos De Vectores Y Producto Escalar
R D Sharma Solutions Class 10th Ch 2 Polynomials Exercise 2 1

Semana 01 Analisis Dimensiones Primera Edicion

The Lines X Cos Alpha Y Sin Alpha P 1 And X Cos Beta Y Sin B

Ex 10 3 16 If P And Q Are Lengths Of Perpendiculars Ex 10 3

If Alpha Beta Are The Roots Of The Equation 3x 2 2x 1 0 Then Find The Equation Whose Root Youtube

Estimating Decay Rate Of X Pm 5568 Rightarrow B S Pi Pm X 5568 B S P While Assuming Them To Be Molecular States Springerlink

Semana 01 Analisis Dimensiones Primera Edicion
If Alpha And Beta Are The Zeros Of The Quadratic Polynomial F X Kx 2 4x 4 Such That Alpha 2 Beta 2 24 What Is The Value Of K Quora

Pdf Existence And Uniqueness Of Common Best Proximity Points On Bimetric Spaces

Modelos Lineales Generalizados Una Formulacion Matematica Rigurosa
Elliptic Curve Wikipedia
If Math Alpha Math And Math Beta Math Are The Roots Of The Equation Math X 2 P X 1 Q 0 Math Then What Is The Value Of Math Frac Alpha 2 2 Alpha 1 Alpha 2 2 Alpha Q Frac Beta 2 2 Beta 1 Beta 2 2 Beta Q Math Quora

Function Basis And Regression R Bloggers

Numerical Simulations For The Space Time Variable Order Nonlinear Fractional Wave Equation Topic Of Research Paper In Mathematics Download Scholarly Article Pdf And Read For Free On Cyberleninka Open Science Hub

Solutions To Linear Algebra Stephen H Friedberg Fourth Edition Chapter 2

Purinergic Receptor Wikipedia

Alpha Beta And Gamma Are The Zeros Of The Polynomial 6 X Cube 3 X Square 5 X 1 Then Find The Brainly In

Show The Subset Of The Vector Space Of Polynomials Is A Subspace And Find Its Basis Problems In Mathematics

Semana 01 Analisis Dimensiones Primera Edicion

Bounded Mild Solutions To Fractional Integro Differential Equations In Banach Spaces Springerlink

Semana 01 Analisis Dimensiones Primera Edicion

On Sequences Of Numbers And Polynomials Defined By Linear Recurrence Relations Of Order 2 Topic Of Research Paper In Mathematics Download Scholarly Article Pdf And Read For Free On Cyberleninka Open

Semana 01 Analisis Dimensiones Primera Edicion
If The Straight Line X Cos A Y Sin A P Touches The Curve X2 Y2 B2 1 Then Prove That cos2a B2sin2a P2 Studyrankersonline
If A And B Are The Roots Of The Equation X 2 X 1 0 Then A 09 B 09 Is Equal To Sarthaks Econnect Largest Online Education Community

Semana 01 Analisis Dimensiones Primera Edicion

I And P X 2

Transformation Matrix With Respect To A Basis Video Khan Academy

If The Roots Of The Equation X 2 Px Q 0 Differ By Unity Then Youtube

Ejercicios Y Problemas Resueltos De Vectores Y Producto Escalar

Using The Ideal Gas Law To Calculate A Change In Volume Worked Example Video Khan Academy

Let Alpha And Beta Are The Roots Of X 2 X 1 0 Such That P K

If The Roots Of The Quadratic Equation 4p P 2 5 X 2 2p 1 X 3p 0

X Ray Data Collection Course
Chebyshev Polynomials Wikipedia
Cbse 10 Math Cbse Polynomials Ncert Solutions

P2x4 A Fast And Sensitive Purinergic Receptor Sciencedirect

7 3 Simulacion De Variables Aleatorias Estadistica Computacional

Semana 01 Analisis Dimensiones Primera Edicion
Divergence Of The Sum Of The Reciprocals Of The Primes Wikipedia

In The Relation P Alpha Beta E Alpha Z K Theta P Is P
Semana 01 Analisis Dimensiones Primera Edicion
If Alpha And Beta Are The Zeroes Of X 2 Px Q Find The Value Of Alpha Beta 2 Beta Alpha 2 Quora

Function Basis And Regression R Bloggers

Rd Sharma Solutions For Class 10 Chapter 8 Quadratic Equations Exercise 8 6 Avail Pdf
If Alpha Beta Are The Roots Of The Equation 2x 2 3x 6 0 Find The Equation Whose Roots Are Alpha 2 2 And Beta 2 2

7 3 Simulacion De Variables Aleatorias Estadistica Computacional
What Is The Value Of P 2 If The Value Of A Quadratic Polynomial P X Is 0 Only At X 1 And P 2 2 Quora



