
Effects Of Parameters A Q B M 1 C M 2 D M P E D And Download Scientific Diagram
Osa All Dielectric Unidirectional Complementary Media For Transmission Enhancement

Solved 5 What Is The Integrating Factor For The Differen Chegg Com
Due Ccb のギャラリー

The Cos 8 Distributions Of A E B µ C P And D R In Download Scientific Diagram

Measurement Of The T Bar T Production Cross Section And Lepton Differential Distributions In E Mu Dilepton Events From Pp Collisions At Sqrt S 13 Text Tev With The Atlas Detector Cern Document Server
M M C Queue Wikipedia

Indicate Introduction To Statistics Exam Docsity

Figure 3 Chlorpyrifos Exposure Induces Parkinsonian Symptoms And Associated Bone Loss In Adult Swiss Albino Mice Springerlink

A Flexible Electromagnetic Wave Electricity Harvester Nature Communications

Answered A Plane Wave Propagating Through A Bartleby

Answered True False The Solution For A C 2e 1 Bartleby

Measurement Of The T Bar T Production Cross Section And Lepton Differential Distributions In E Mu Dilepton Events From Pp Collisions At Sqrt S 13 Text Tev With The Atlas Detector Cern Document Server

A Plane Em Wave Travelling In Vacuum Along Z Direction Is Given By

Generation Of Pet Attenuation Map For Whole Body Time Of Flight 18f Fdg Pet Mri Using A Deep Neural Network Trained With Simultaneously Reconstructed Activity And Attenuation Maps Journal Of Nuclear Medicine
Solved 5 What Is The Integrating Factor For The Differen Chegg Com
Feynman Slash Notation Wikipedia

Nanomaterials Free Full Text Tuning The Dielectric And Microwaves Absorption Properties Of N Doped Carbon Nanotubes By Boron Insertion Html

What Is The Equivalent Capacitance Of The Combination Shown A F B 90 F C 22 F D 4 6 F E 67 F Study Com

Mixing And Combustion In A Laminar Shear Layer With Imposed Counterflow Journal Of Fluid Mechanics Cambridge Core

Answered O E X µ E X µ C Ii Bartleby

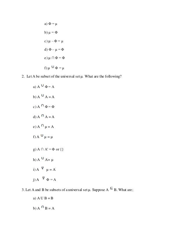
Set Theory

A Micro Impinger Sampling Device For Determination Of Atmospheric Nitrogen Dioxide Aerosol And Air Quality Research

Bis M 2 2 Dimethylpropanoato O O Diethyl M Oxo Diboron Koster 1984 Inorganic Syntheses Wiley Online Library

Neimark Sacker Bifurcation And The Generate Cases Of Kopel Oligopoly Model With Different Adjustment Speed Springerlink

Forward Multiparticle Spectrometer Fms Cms Eighth Workshop On

Biomimetic Silica Deposition Promoted By Sub 5 Mm Complexes Of Dicarboxylic Acids Polyethyleneimine Microballs A New Approach To Tuning Silica Struct Rsc Advances Rsc Publishing Doi 10 1039 C7raa

Solved Just Do C And D Use The Formulas Alpha 3 E X M Chegg Com
Perfoming Anova Test Using Orthogonal Contrasts Physics Forums

Combined Effect Of Rotation And Topography On Shoaling Oceanic Internal Solitary Waves In Journal Of Physical Oceanography Volume 44 Issue 4 14
Solved Match Each Symbol To The Corresponding Representat Chegg Com

Temporal Kinetics Of Hbo 2 A Dhb B So 2 C Thb D Download Scientific Diagram

Schematic Diagram Of A Real Camera View From Top B Magnified View Of M Chip C Fabrication With Sb2o3 Zno Mfs With Conducting Binders Ec a Onto M Chip Sensing Area D Reaction Mechanism Of Ethanol

Experimental Phase Diagram Of Zero Bias Conductance Peaks In Superconductor Semiconductor Nanowire Devices Science Advances

Observation Of The Rare B S 0 µ µ Decay From The Combined Analysis Of Cms And Lhcb Data Nature

The Effects Of Parameters A L B M C Z D L Open I

Crucial Role Of Ppgpp In The Resilience Of Escherichia Coli To Growth Disruption Biorxiv

Ch 6 Confidence Intervals

Measurement Of The B C Meson Production Fraction And Asymmetry In 7 And 13 Tev Pp Collisions Cern Document Server

The Bar Graphs Show M Hp A M Sap B S 2 Hp C S 2 Sap D Hf Hp Download Scientific Diagram

Given Brownian Motion B And Bounded Measures On 0 1 X Mu Omega Int 0 1 B S Omega D Mu S Is Gaussian Mathematics Stack Exchange

Solved What Exponential Notation Do The Following

Seasonal Climatologies Of A Par Surf B Mld C C Phyto D Download Scientific Diagram

Model Based Clustering Reveals Vitamin D Dependent Multi Centrality Hubs In A Network Of Vitamin Related Proteins Bmc Systems Biology Full Text

The Effect Of Strain Hardening On The Dynamic Response Of Human Artery Segments

Reduce The Following Boolean Expressions To The Indicated Number Of Literals A Course Hero

Prove That Int Vert Vert F N Vert Vert F N F Vert P Vert F Vert Vert D Mu To 0 If Sup N Vert F N Vert Leq C Mathematics Stack Exchange

Translating N µ S 2 Random Variables Problem Suppose X N µ

Parameterization Of The Spatial Variability Of Rain For Large Scale Models And Remote Sensing In Journal Of Applied Meteorology And Climatology Volume 54 Issue 10 15
Osa Theoretical Analysis Of Tuning Property Of The Graphene Integrated Excessively Tilted Fiber Grating For Sensitivity Enhancement

Solved 5 A If C And M To Find The Corresponding H By Chegg Com

Improved Impedance Matching By Multi Componential Metal Hybridized Rgo Toward High Performance Of Microwave Absorption

Perinatal Deletion Of B Cells Expressing Surface Ig Molecules That Lack V D J Encoded Determinants In The Bursa Of Fabricius Is Not Due To Intrafollicular Competition The Journal Of Immunology

Two Large Conducting Parallel Plates A And B Are Separated By 24 M A Uniform Course Hero

A Football Meant To Be Thrown At 60 Mih In Sea Level Air U03c1 122 Kgm 3 U03bc 178e 5 N Course Hero

A Micro Impinger Sampling Device For Determination Of Atmospheric Nitrogen Dioxide Aerosol And Air Quality Research

Level By Level Making Flow And Contextsensitive Pointer

Solved 5 What Is The Integrating Factor For The Differen Chegg Com

Mixing And Combustion In A Laminar Shear Layer With Imposed Counterflow Journal Of Fluid Mechanics Cambridge Core

Chapter 7 Random Variables
Beta Distribution Wikipedia

Measurement Of The T Bar T Production Cross Section And Lepton Differential Distributions In E Mu Dilepton Events From Pp Collisions At Sqrt S 13 Text Tev With The Atlas Detector Cern Document Server
The Magnitude Of A W1 B S C µ D W2 E 3a In Eq 4 And Download Scientific Diagram

Solved Consider The Probability Distribution Shown For Th Chegg Com

Homework Answers 5 A Discrete B Continuous C Continuous D Discrete E Continuous 6 A Continuous B Discrete C Discrete D Continuous E Discrete Ppt Download
Chebyshev S Inequality Wikipedia

Experimental Design Procedures For The Behavioral Sciences 4th Editio

Bg In Situ Evidence Of Mineral Physical Protection And Carbon Stabilization Revealed By Nanoscale 3 D Tomography

Honda 150 Crf R 7 8 9 A B C D E F G H J Esjot Gmbh

M Xrf 2d Chemical Maps Of Ni A C And V D F For A Fr Open I

Variations Of A Chemical Potential µ B Chemical Hardness H C Download Scientific Diagram
Solved 4 6 Letx Be Distributed As N M E Where M 1 Chegg Com

Solved Find The Laplace Transforms Of A F T M T E Chegg Com

Solved Hello Could Someone Please Help Me To This Differ Chegg Com

New Page 1

Quinoidal Thioalkyl Substituted Bithiophene Small Molecule Semiconductors For N Type Organic Field Effect Transistors Journal Of Materials Chemistry C Rsc Publishing Doi 10 1039 D0tcc

Applied Sciences Free Full Text Study On Seismic Performance And Damage Analysis Of Steel Plate Shear Wall With Partially Encased Composite Pec Columns Html

Chapter 13 Electromagnetic Induction Ppt Download

Momentum Distributions Of A E B µ C P And D R In Download Scientific Diagram

µ S A Manualzz

Factors Influencing The Performance Of Paintable Carbon Based Perovskite Solar Cells Fabricated In Ambient Air

Molecules Free Full Text A Mechanistic View Of The Light Induced Synthesis Of Silver Nanoparticles Using Extracellular Polymeric Substances Of Chlamydomonas Reinhardtii Html

Ece302 Spring 06 Hw3 Solutions February 2 Pdf Free Download

Solved Rememberthefollowingtwofacts Var X E X2 E X 2 A Chegg Com

Gap Type Dark Localized Modes In A Bose Einstein Condensate With Optical Lattices

Anti Dna Pol µ Antibody E 8 Scbt Santa Cruz Biotechnology

Nonlinear Effects On Convectively Forced Two Dimensional Mesoscale Flows In Journal Of The Atmospheric Sciences Volume 69 Issue 11 12

Magnetic Fields

Energy Cutoff Effect In Corsika On The Detected Particles Of Pp0 Decay Channel

Prove That Mathbb E E Mu Sigma Z Mathbb I Z D E Mu Sigma 2 2 F D Sigma Mathematics Stack Exchange
Osa Focusing Pattern Of Axisymmetric Bessel Gaussian Beam With Helical Polarization Under Triangular Modulation

It Is Known That The Mean Price Of A College Textbook Was 70 With The Standard Course Hero
Plos One Pdlim7 Regulates Arf6 Dependent Actin Dynamics And Is Required For Platelet Mediated Thrombosis In Mice

A D µ Leed Patterns Taken At Electron Energy Of 50 Ev A B And 40 Download Scientific Diagram

Figure 1 Organogenic Nodule Formation In Hop A Tool To Study Morphogenesis In Plants With Biotechnological And Medicinal Applications

Long Term And Short Term Evolutionary Impacts Of Transposable Elements On Drosophila Genetics



