
Asma Ul Husna Allah Names Urdu

Ugc Net Answer Keys
Z Wiktionary
Zd のギャラリー

D Day La Gi Những điều Khủng Khiếp Xung Quanh Ngay Nay

Solved C Find X And Y Then Find The Equation Of The L Chegg Com
Solved 1 D Boolean Functions A Evaluate The Logical Exp Chegg Com

Viking Journal In Chinese Pdf Free Download

Jackson Amaral Myfonts
Hungarian Alphabet Wikipedia
Solved A Sketch The Following Vector Fields Indicate Th Chegg Com

Những Lưu Y Khi Tiem Vắc Xin 6 Trong 1 Hexaxim Cho Be Vinmec

Iul

My Publications Jannat Ki 2 Chabiyan Page 138 139 Created With Publitas Com

Luxemburg City Trip City Trip Luxemburg 1 Mile 7 Museums Citytrip City Faltplan Extratipps Pfaffenthal Grund Verluerekascht Pdf Free Download
If X Sin 1 Sin10 And Y Cos 1 Cos10 Then The Value Of Y X

Ky Hiệu Hoa Học Ten Viết Tắt Mg D N Z P Iso C Trong Bảng Tuần H

Harmony Moea D Steps Download Scientific Diagram

Chorus Font Family Soneritype A Digital Type Foundry

Cach Phat Am đuoi Ed Chuẩn Nhất Trong Tiếng Anh Step Up English

Affinity Publisher For Desktop Tutorials

Solved If F X And Gox X 1 Then X 1 1 Fog X A Chegg Com
Axion Font Family Type Innovations Phil S Fonts

Collation Matters Few Things To Note When Thinking Your Server S Or Database S Collation And Easy Tool To Test Collations Blog

Joly Font Family On Behance
Altgr Key Wikipedia

Congenial Family How To Draw Hands Buy Weights Lettering

Let Heunem Be X Au Boudin Bey A Mejor Ama Bex By Condikon No O 2 5 443 24 9 Ay 3x 54 15 Xy 3 5y 9 15 32 5y 6 Co By Condition No 0 3 Ly 2 24 67 34 2x 3y 6 4 67 2x 34 67 6 Doct 3 Y 61

Best Monospace Code Fonts For Developers Digitalocean

Solved 13 Differentiate A 7 2 B 28 X 2 6 X 6 28 X Chegg Com
Iso Iec 59 1 Wikipedia

Adorn Serif Smooth Serif Modern Lettering Truetype Fonts

Korenah Serif Decorative Display Font Dfonts

Y Nghĩa Va Cach đọc Cac Thong Số Của Vong Bi

History Of Yoga By Frank Maximchuk Issuu

Stonewall Typeface On Behance
D Wiktionary

Bnh L Tro Ngc D Dy Thc Qun
Altgr Key Wikipedia

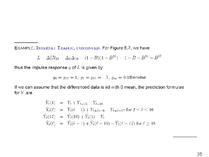
Forecasting Jy Le Boudec 1 Contents 1 What
Z U Z O Sz Zz G Z S X D Sz G Af A I N O M A J U Y I Ae O J E K O 1 On 1 Ia Ae A

The Apothecary Font Collection Free Font On Behance

Ff Fudoni One Fonts From The Fontfont Library Professional Fonts Fonts Typeface
đeo Vong Tay Nga Voi Co Y Nghĩa Gi Xịn

Complete Program Synthesis For Linear Arithmetics Ppt Download

བད ད འཇ མས ཆ ས ས ད Pdf Txt
I7770base Point Of Sale Base Station User Manual Xls Ingenico
Solved Flag Question Find Y X At The Point 1 1 2 If F Chegg Com

Hopfield Network Ppt Download

Dressel Medium Font Free For Personal
T 26 Digital Type Foundry Fonts Taffee

Solved 1 Point Consider The Differential Equation For T Chegg Com

Uncovering Apt29 Tool Trojan Polyglot Duke Unpacking By 0xthreatintel Medium
Altgr Key Wikipedia

Ugc Net Answer Keys
Ybnmepq4nsekfm

Eoi Ca 新しい壁紙を無料で入手するihd

Newsserif Is An Editorial Typeface Family For Headlines And Copy It S The Sister Typeface To Newssans
Học Từ Vựng Tiếng Anh Mỗi Ngay Cấu Truc Cau Sử Dụng Cac động Từ Thường Gặp P1 Cung Ad điểm Qua Một Vai Cấu Truc Cau Sử Sụng Cac động Từ
Barley Script Textured Font The Artisan Collection Font Family Free Download Created By Mans Greback In Script Various Styles With Free For Personal Use License All Free Fonts

Who Need A Notebook Stand If You Have Thinkpads T410 T450s T440p T14 Thinkpad

Mourich Elegant Font On Behance

Pin On Serif Font
Solved 7 I The Boolean Expression X Yx Y X7 X S Chegg Com

Vacxin Infanrix Hexa 6 In 1 Của Bỉ Cach Dung Liều Lượng Gia Bao Nhieu

Ctf Down The Rabbit Hole nnyq Infosec
Harmonic Function Wikipedia

Kham Pha Lối Sống Của Từng Thế Hệ Gen X Gen Y Gen Z Va Cac Thế Hệ Khac Cập Nhật Xu Hướng Thời đại Ngao Content Hanh Trinh

Lumberjack Font Font Slots

Di A A Thy O Thyyy I I I I D N O O O O O O U U U U Y Th Ss A A A A A A Ae C E E E E I I I I D N O O O O

Hot Dipped Galvanized Steel Coils Z40 Z80 Z1 Sgcc Dx51 D Z Carbon Steel Gi Coil Buy Dx51d Z Carbon Steel Gi Coil Steel Coil Sgcc Dx51 D Hot Dipped Galvanized Steel Coils Z40 Z80

Vexilla Font Webfont Desktop Myfonts

Tex File Just Showing What Looks Like Binary Code After Restarting Computer Tex Latex Stack Exchange

4 7 2 Prove The Backwards Analogue Of Theorem 4 6 Chegg Com

My Publications shiq E Akbar Page 46 47 Created With Publitas Com

I Gum6h6 Pyiathaecie H Oy1o 2ce ª Io C I I Xsa Aªaeh 2 µexas Flickr

If U F R Where R 2 X 2 Y 2 Z 2 Then D 2u Dx 2 D 2u Dy 2 D 2u Dz 2 F R 4rf R

Solved 23 For Distances Z Which Are Large Compared To The Chegg Com
Bi 4 Im Kim Tra Mn Ton Ca Lihat Cara Penyelesaian Di Qanda
The Two Lines Of Regressions Are X 2y 5 0 And 2x 3y 8 0 And The Variance Of X Is 12 Find The Variance Of Y And The Coefficient Of Correlation

Simulink Tutorial
List Of Unicode Characters Wikipedia
Alt Codes How To Type Special Characters And Keyboard Symbols On Windows Using The Alt Keys
Vietnamese Alphabet Wikipedia

Pm I X Buo D Ia Q Af I Y R Gyu Duyfss4º C 2ss U Udi I Flickr
Z U Z O Sz Zz G Z S X D Sz G Af A I N O M A J U Y I Ae O J E K O 1 On 1 Ia Ae A

Inconsolata Font Free For Personal

Mehroz Anjum Muhmmad Mehroz Twitter
Inegalites De Sobolev Logarithmiques Et Hypercontractivite En Mecanique Statistique Et En E D P

Xet Nghiệm D Dimer Va Y Nghĩa Trong Lam Sang Tuyenlab

Tổ Chức Cho Giao Vien Gop Y Bản Mẫu Sach Giao Khoa Lớp 2 Va Lớp 6 Giao Dục Vietnam Vietnamplus

Solved Can You Check My Answer For A To D For A I Chegg Com

Embarbussamentswiki1

Harmony Moea D Steps Download Scientific Diagram
Cruz Script Font Family Ray Cruz Phil S Fonts

Brand New New Logo And Identity For Dohop By Bedow Identity Logo Identity Logos

Peppina Peppina Brochure 17 Page 6 7 Created With Publitas Com

Introducing The Refined Font Bundle This Deal Is Jam Packed With 29 Buttoned Up Products Perfect For All Projects Fancy Font Bundles Elegant Font Font Family



