
Graphical And Mechanical Computation In 11 1 R S 4 3 U I Fig 21c Angle From Any Point P Draw Pii Ph Ph Perpendicular To Ox Oyand Oz Respectively
Calculus Given A Matrix A E M2 R Denote By Sk Chegg Com

University Prep Review Geometry Been Having Trouble With This I See The Cyclic Quadrilateral I M Having Trouble Understanding If I Have Enough To Call It An Isosceles Trapezoid I Feel Like If
Rm Wucg のギャラリー
Solved 1 Three Resistors Are Arranged In Series With A 12v Dc Power Supply The Three Resistors Are R1 2 Ohms R2 330 Ohms R3 125 Ohms Wha Course Hero

List Of Words With Silent Letters In English Myenglishteacher Eu

Problem Corner The Mathematical Gazette Cambridge Core

Interval Algebraic Bistructures By Florentin Smarandache Issuu

List Of Words With Silent Letters In English Myenglishteacher Eu

Formula For Awesomeness Is There A Formula For Awesomeness I By Paul Ricken Medium
Clipping From The Winnipeg Tribune Newspapers Com

Olio Officers R If Ii D Klchardson I Ih I Ll N 6 President Treasurer And Manager Li I Zhc Williston Club C Fficers W C Seelye 95 A E Rosa 97 R D

Notes On Topics Of Algebra Notes

Physical Activity Exercise And Diabetes A Position Statement Of The American Diabetes Association Diabetes Care
List Of Unicode Characters Wikipedia

Bookpublisherlond High Resolution Stock Photography And Images Alamy
Solved R R Problem 3 The Ground State Wave Function Of A Chegg Com
1969 05 13 Eastern League Newspapers Com
Thorn Letter Wikipedia
Lambert W Function Wikipedia

Problems On Useful Formulas And Transport Assignment 3 Chem 112 Docsity

English Words That End With A Silent E

Answered D Let A E 0 1 Let R E R Be Given Bartleby

Why Are A E I O U And Y Called Vowels Dictionary Com
The Exchange Of Hydrogen With Deuterium In Solution Transactions Of The Faraday Society Rsc Publishing

2 1 11 Proposition Suppose X Cr A E Clx F X Chegg Com

Phonetic Symbols Used In The Dictionary Phonetic Alphabet English Phonetic Alphabet Phonetic Chart

Farmcrowdy Hello Mz Mmachi Thank You For Contacting Us And For Your Interest In Sponsoring Farms On Our Platform Kindly Sign Up On Our Platform If You Ve Not So You Will

The St Johns Herald 17 02 03 The St Johns Herald Arizona Memory Project
Seven Runners A B C D E F See How To Solve It At Qanda

Test 2 Questions For General Chemistry With Qualitative Analysis Ii Chm 1046c Docsity
Phys 131 Formula Sheet Phys 131 Studocu

14 Learn Phonetics Ideas Phonetics Phonetic Alphabet Phonology
Solved Question 3 1 Point A Particle Of Mass M Moves In Chegg Com

Rfd Issue 30 Spring 19 By Rfd Magazine Gay Issuu
Schwa Wikipedia

Construction For Euclid Ii 9 10 Proceedings Of The Edinburgh Mathematical Society Cambridge Core

Management Of Hyperglycemia In Type 2 Diabetes A Patient Centered Approach Diabetes Care

Graphical And Mechanical Computation Fig 21a Fig 21b In 11 1 R S 4 3 U I Fig 21c Angle From Any Point P Draw Pii Ph Ph Perpendicular To
How Hard Is It To Speak Icelandic Guide To Iceland

Thicca Linda If Joe Biden Wins The Transgenders Will Cheat Thomas Jefferson
The Interaction Of Light And Heavy Water With Aluminium Carbide And Calcium Phosphide Transactions Of The Faraday Society Rsc Publishing
a Tnd Tablet Cover Letter Long Term Confidentiality Request Letter Rm Acquisition

Second Case Study Guarded Fragment Ppt Download

Concrete Papke Instantiation Papke Ic Dhies Download Scientific Diagram

Page 3 Mi Ae High Resolution Stock Photography And Images Alamy

Solved If In A Flight A Door In A Plane Is Opened The N Chegg Com
9ejmjgmtcijm

Angel E Caldera Md Reference List

Pdf Encryption Schemes Secure Under Selective Opening Attack Semantic Scholar

Sequel Paul Smiths N Y 1987 September 01 07 Page 37 Image 37 Paul Smith S College Library Historic Publications Collection

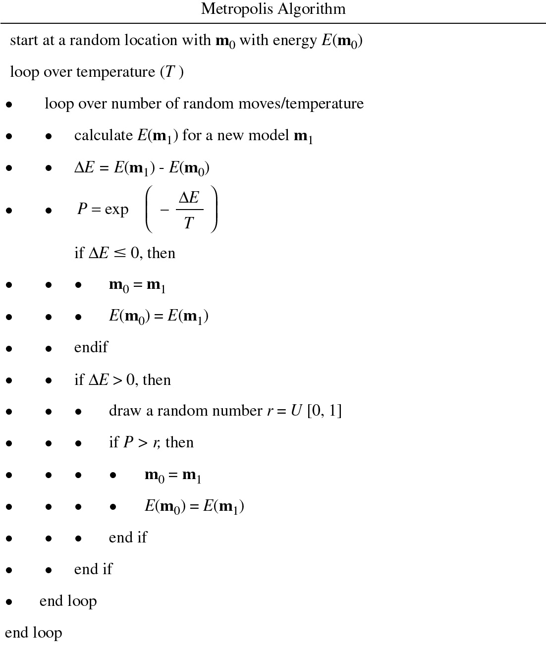
Simulated Annealing Methods Chapter 4 Global Optimization Methods In Geophysical Inversion

German Umlauts A O And U The German Language Guide
Solved Q1 A Capacitance C With A Charge Q At T 0 Discha Chegg Com
How To Type Letters With Accents On Mac
Scriptsource Entry Phonetic Symbol Guide

Ba 123 Leadership Profile Project 1

Epa1 Ligase Rnf185 Inhibitors And Uses Thereof Google Patents
Wallace Piatt And Mary Robison Marriage Announcement Newspapers Com
Conyen The Following Sim Descubre Como Resolverlo En Qanda

Love Moon Standard Uppercase And Lowercase Letters Ligature Lowercase A

Pdf Fast And Secure Updatable Encryption Semantic Scholar

Sequence Alignment For Catalases Of Various Species Catalases From The Download Scientific Diagram
Maths Beyond Limits Home Facebook

Table 2 From Wheat Bread Aroma Compounds In Crumb And Crust A Review Semantic Scholar

Chord Man O War Eric Bachmann Tab Song Lyric Sheet Guitar Ukulele Chords Vip

Mathematics 2224 Lebesgue Integral Homework Exercise Sheet 2 Recall That M



