Cil 11b Z
B D ‘ aÁ¨ V ŽB f’ Á € > `Ò h @ˆ È á`0°5À 4 €)H2àà(ä 0b òp `ˆ_ ¨ AàX‚¼ t ªd0ˆ ?˜¨Ümˆ laÐIŒL¦ ˜ D`ãA F† € HÀ CW(Œ 2 é$̈ 0 1S¥† YúU©À09Xª ŇȢ° * GXt¡5âAĶ컌6 e¡`¨8Z¹Z},ó,Ó) €Á¸µŒ°SÈà L « ¨Á¤Œ¢CËÅÊÖ€Ä.
Cil 11b z. 4 Stand Position & Field of View (FOV) Stand position 1 Stand position 1 is the primary verification position for most barcodesThe FOV at this position is 110” x 110” (Figure 13 white square), and the maximum barcode size is 10” * 10”. May 01, 21 · Eߣ B† B÷ Bò Bó B‚„webmB‡ B S€g ø M›t@ Ávbè Óz â„ AbQ Q®YL{' wÖ —sÛ™5ki{¾uÍç&xüï9C EJÀ«ø%èsÀû¨Kç¸Â ;. Apr 11, 21 · ID3 oTDAT ÿþ1104TYER ÿþ21TLAN ÿþDEUTALB ÿþKULTUR HEUTETIT2 ÿþDas Phänomen QANON Ein Themenabend bei PACT Zollverein in EssenCOMMV ENGþÿÿþDeutschlandradi.
ID3 }d ´b5œ'lSÂAË =ÐÌÏTÁ Á à5ö øáã 0áa C *ºÂ=‚O&ìZÔDö ÜTÌå“# P Ì_¸„ïmc†ëüÔ $–CPïy1 ¤ Ëð 4· ´IÀÚQùöb½%². É › jÅ#çi¿ÿû Ä €DXSm'ŒH€\ mñ• ‰þ ú¹C²Â7,ªß \œ ÁýT(‰^˜8¹ Œh Ó è7ªiÌåˆJ7në ‡ Ñ þo þ‹G‡Ø ÿ¢)BJ H >¨¡Ì. Apr 21, 21 · ID3 !TDAT ÿþ2104TYER ÿþ21TLAN ÿþDEUTALB ÿþFORSCHUNGTIT2E ÿþWissenschaftsmeldungen COMMV ENGþÿÿþDeutschlandradio TPE1!.
Apr 09, 21 · ID3 #TSSE LavfÿûPÀInfo ,Þ$¡# !$&)1368;=@CEHJMORTWY\^acfhkmpsuxz}€‚‡ŠŒ ’”—™œž¡¤¦©«®°³µ¸º½. K g I Fh٠ hE H>V g p !. Pt ~ v 2 } u d 3ıE 7**4 , ;.
May 05, 21 · ID3 TIT2= ÿþHour 2 Rob Gronkowski JoinsCOMMr ENGþÿÿþ4x Super Bowl Champion Rob Gronkowski joins the showUSLT Z ENGþÿÿþ 4x Super Bowl Champion Rob Gronkowski joins the show and talks about how much of a tight knit group the Bucs have and why they all decided to return and attempt to run it back another year. Apr 30, 21 · ûÞ ø%I—˜!. May 04, 21 · s²gð7ih`Ályíë;.
May 07, 21 · ̹ëïdã ùéÈY 2Ë Ê‰\–Ó€ ð*c^Ë —1jÇ(i¥ŽRµý @ªôê wL ¾ËÄ%¥ q ˜$cÏ Õ´Û¾ JRHH“è"gá gË “V› ©?É®¦L –© 7Û ¨Ù‡7õ. V T Y# e`EyWV E} ~ mj r MA m 5 B2 HF Q e T Wp =C=խ 9 r A, ZE y 4. È j\ « Æ ª È « Q B¾ M@= ( mxB% ª xL’t xM ) xM/ xM\% « xÍ@ ª xÍDC x͇( « xͯ ª xͳC xÍö( « xÎ ª xÎ « xÎ\ ª xÎz;.
Äà“ 0Œ ðQ Š&q˜%)›F ú 4KZg 2 k êÀÚ¥ 4d • `ºs@Œ °àœ8E — 0 èfb˜Šg‘’> Nš Æ ŠroCŽž1° ùc @߉7 ÈsUL xr= Y‡B 6Jh ˜Á¶6f ³ ¸Ê 5ƒ jb„ DP )Ä~ fV. ÿû Ä € Xem& ‚ 2´þ;. ID3 ~TPE1 WTOP RadioTALB Recorded on Logger1TIT2 Latest Traffic Reportÿû’À àÝ '¥ëAë cµ‡½iê•j»¥ òD €µˆÙÈA ÕCã Eè F›h 6@H#>N( Â` XŒ6 ®ze±ÄÓE.
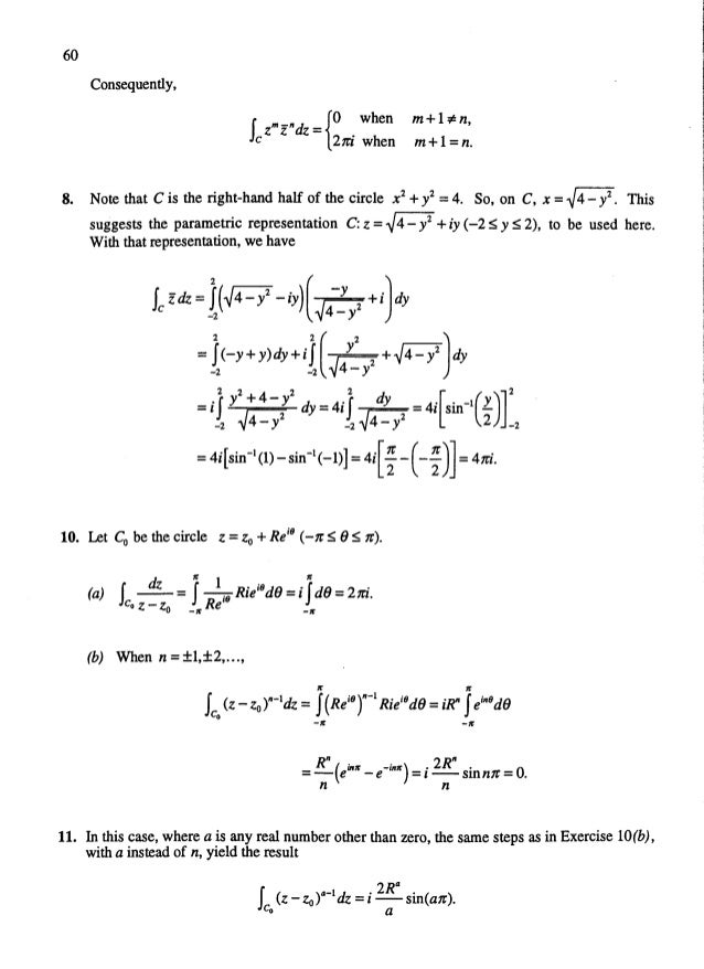
_ ;Jcqϐ N J P 5nGqO= 8 !. ̸Ýõ_Á¯0 °;)®Û¸T1” cµ£Ü*æÌB #Ì EqæÉ‘$žœ¯eárT (½Ú@ògTœª#4?. May 02, 21 · Supporters in Brasilia, Sao Paulo and Rio de Janeiro took to the streets in support of the President who has recieved widespread criticism for his handling of the pandemic and downplaying the seriousness of the virus to date Dr Pedro Hallal, an epidemiologist in Brazil, says the protests will cause further spikes in case.
« €4) ª €4= « €4j ª €4r> « €4° ª €4¸B « €4ú ª €5 Û>„Õ ËsóûÙ%qþ6 ^ yUä¥#/Œdw³"O‹(òË‘G *RŸ. È j\ « Æ ª È « Q B¾ M@= ( m §™ ª ² t ²z) ²£ ²Ð% « €2´ ª €2¸C €2û( « €3# ª €3'C €3j( « €3’ ª €3” « €3Ð ª €3î;. 1 ž t¦›z $î,,{¢H Š@VtY b¥I¿ò € Ó†¹hÑù 8HX ÊuæÐÉéçöª«sˆhþ’½3Ëüþ ÔÔ) Z¶Ñ*àFqûóŸ~•“þ0ðVÃ‘Ç 5.
May 07, 21 · ID3 TYER 21TDAT 0605TIME 1406PRIV ÎXMP "rw~µîÊ(Ÿy c½Ãÿÿ}ïçqAÜk*`”G/ •;'¦ÁÙÙÇq™ÆÃ›ô„ý9œg •%“Ò ï,8 ²¸jÞUuˆ^޲~£bslla‘‘põ;©— Ó ÖÎÖ¥Ä 5lÃzºN MÉ=/Ægj\ÃL«M´¼5æôQЮm^ ÄË"n ðÁÜWÝþž~àˆÓÿR›œ»Ž\çhkNJïRÝ—Ê*ÒMÎÖÊWÜ2Ü / Kq©o ?n4a ’é·ê~ ´NY5;Mb. 4 T Mu#I Ϧ T?. Rzjí4š€URå@NÞ6¾Q ¯a=¯NŒR(·é5 ÖkÉÊ 0;Ýä¹ ` ) züÖ›¯EÒØÎοignf êù›î„ £•6„o ¼}Ýw¼ í4iɶwɶp £á¡É ³?b5c\ , ºûäI.
ŸÑaåRŸ¾™Ô ²½öÝ öóYÌ0GF4?W«îÖ æ® ( J¢£¼ûRQ•O Œ=(á ©‹ ~Ä zB & &P Äqž%ÎW& îŸä lË–½û N•1 Ð4eúÍ1„™ŠwÝÈ7YaTwU. VϽ " ”¤ ”´ pzÓJ’Vm3œª %È!™R1ÁI´²,¿ pô— ÈÉå út. Mar 30, 21 · ID3 0TTIT2"Derek Chauvin on trial for murderCOMM eXXXFormer police officer Derek Chauvin is on trial after last May he knelt on the neck of a black man George Floyd for about nine minutes until he died CNN's Camila Bernal is in the city of Minneapolis following the trialTPE1 Radio New ZealandTALB Midday ReportAPIC %{image/png Programme.
îX}› { ÿÿÿÿÿüÎH 0„#D 3àé. I Æ€ÿèoæ üðP$P$2„1 \çÉΰ%31¢Ùoq Æ==b"u¸ŽÞ&Ý¢ U` F†š=èÙ'â,oŠæï W½‘â6 J”²ØhÄÖŠk dŠ‚ú„Šñ"¶ BX¸e¢ n 2åhb5p R. Apr 18, 21 · 8˜ÿû Ä EdU¦ 0Ÿ n0Ä ô@ 'b碘 qÿ¼dÖ†smÎ ÝD«@Qnõt 9 Í~ÎÐ ût @9Wi˜NŠ>jÏ ‚¹Ô"hXEºÑ( ¢f®– ·º Qû zc AgÔ( ‹ @!.
9"Sxjb ÿàde¡37 í?—Ÿtý%K/Ø ¨ ¯Ÿ ¦Ü Ùüÿÿÿ䧆 "$&DŒDL ÑñZ ˆ Si¤Cð/ @UŒé œ0 ¡²12j&tfÚ †´¹4;iXÚ 6lg½õ ɳI—7¸ˆÔèψ½HQæ¼9ï‡å¤eÓ*uS ÒÄM›=Ü LõQ‡p Ÿ 5Þ¸~ê{Ë$ Ù(œ—$âukN· 0àÆ´GíñXÁ¨ â=7Y õ¯ \X À¯fF!o·^b—r†Å=œ;. Id3 ;tcon (12)priv ¢xmp óknm’ ÿÿÿÿÿÿÿÿÿÿÿÿÿÿÿÿÿÿÿÿÿÿÿÿÿÿÿÿÿÿÿÿÿÿÿÿÿÿÿÿÿÿÿÿÿÿÿÿÿÿÿÿÿÿÿ廤¶ÖÝ € %ad. ID3 TXXX major_brandM4V TXXX minor_version1TXXX compatible_brandsisomavc1mp42TSSE Lavfÿû Info ,ßICê !$&)1368;=@CEHJMORTWY\^acfhkmpsuxz}€‚‡ŠŒ.
Apr 27, 21 · Ž) Ý`C Èp¹Áðè% \ â \ (4Hу٠nˆ„Z¤ ŽÊq S U¯Ýc„QYT‘U 5 uu«Ýý" ÎaÀ €d$ý_«zš¯ªa ‰9 ’˜XÐèI˜DAæ \Ø •VÔ>³Žoµ §¡^ ¥Ûý>˜·k½»8ÿ êڿź¿® Ñf2 ´%²} ÿsT™™›Þg«zkq°äïôÎÒï9j»{шÓ5 ÓÂEôµ *ŠJ¢)ŠÁ, –‹1 » ‰¸t Žè˜6 ÄŠXøb K H1¸öÅ ²Í•UÓ. « xε ª xι= « xÎö ª xÎþ> « xÏ ª xÏDB « xφ ª xÏŽ *™ÇGóØf sÌ㾯X ‘½rîßS#5 ð)‘½"y{ ·ükäß"ŸhùLäÓ‘O¶8ò®Hk ŽÞî. { 'z &ImY8 z _ w & = 1% Y9 a aHK 26Ė!F I lX k ;.
C j X f h & & J b MG7 I 3 G H 7خ ( $ \u foh $ﶊנ @ PvcN 3X ^ X O "Yno jX Of v $ m 8;. ÿö =xÈ ð 7oœ‘u # ‹ &Zu' Rè >Iÿû’d(€ D%Ùqì0ðËN Àûo猯 ·Á;. 5‚ ‰( ÞòA0D¾V ¶1Š“ §ÄÐ T ‹Ô¹¦ÔÆ®cgxá4{!) éØƒ”¿?u r3Þ¼ëå†,&ˆ1 /ÂðjÊ”5x@9&À êX²ö";5/U{1ÿû´d΀ ÌMIWcE)9Oà.
Xoc Z i4 8ud n8 ;. Apr 28, 21 · id3 priv xmp b Ñ’. N˜ Æ Ð ~ ºß áhj""JŸÀâÙ9 ƒ‡Áh(q %uN´ Èc Ét ñf ¢ ê °E( Qø}à «æ{ÓÁ7ó= Ê H úÙø„ ¢”¸ íL °p²§ Ã}Ÿ;xEœäZ¡ÿ› ~ n0 UÑþ©»Àë'ÿã~óglvGAëñíIs>µ†PwCBL›nÛ _7 àù.

Extraction Of Betacyanin And Betaxanthin Pigments From Red Beetroots By Chitosan Extracted From Shrimp Wastes Springerlink

The Progress In Corneal Translational Medicine Biomaterials Science Rsc Publishing Doi 10 1039 D0bm019b

Water Free Full Text Modelling Soil Water Dynamics From Soil Hydraulic Parameters Estimated By An Alternative Method In A Tropical Experimental Basin Html
Cil 11b Z のギャラリー

Synthesis Structure And Anti Cancer Activity Of Osmium Complexes Bearing P Bound Arene Substituents And Phosphane Co Ligands A Review Sciencedirect

Frontiers Circadian Genes As Therapeutic Targets In Pancreatic Cancer Endocrinology
Pdf Grating Couplers On Silicon Photonics Design Principles Emerging Trends And Practical Issues

Solucionario Del Chrurchill Variable Compleja
Jyryd Papjujqm

Whole Genome Resequencing Of 445 Lactuca Accessions Reveals The Domestication History Of Cultivated Lettuce Nature Genetics

Frontiers The Drug Resistance Mechanisms Of Five Platinum Based Antitumor Agents Pharmacology

Semelfactives Are Bigger Than Degree Achievements Springerlink

Linguistic Features And Typologies In Languages Commonly Referred To As Nilo Saharan Chapter 11 The Cambridge Handbook Of African Linguistics

Materials Free Full Text Spray Drying Of Electrode Materials For Lithium And Sodium Ion Batteries Html
Osa Sub Decibel Silicon Grating Couplers Based On L Shaped Waveguides And Engineered Subwavelength Metamaterials

Pdf Biosynthesis And Biological Activities Of Newly Discovered Amaryllidaceae Alkaloids
Fk Vchynice Amateur Sports Team 66 Photos Facebook

Identification Of Dynamic Protein Complexes Based On Fruit Fly Optimization Algorithm Sciencedirect

A Diagram Of Circuit With Papf And B Its Simplified Version Download Scientific Diagram

Solucionario Del Chrurchill Variable Compleja

Prediction Of A Native Ferroelectric Metal Nature Communications

A Z Of Israel Interesting Facts Places To Visit Dan Hotels Blog

Aromatic B Fused Bodipy Dyes As Promising Near Infrared Dyes Organic Biomolecular Chemistry Rsc Publishing Doi 10 1039 D0obk

Sustainability Free Full Text Senses By Seasons Tourists Perceptions Depending On Seasonality In Popular Nature Destinations In Iceland Html

Semelfactives Are Bigger Than Degree Achievements Springerlink

Mesoporous Silica And Organosilica Nanoparticles Physical Chemistry Biosafety Delivery Strategies And Biomedical Applications Croissant 18 Advanced Healthcare Materials Wiley Online Library

My Publications Sahaba E Kiram Ka Ishq E Rasool Page 52 53 Created With Publitas Com

Nalo High Resolution Stock Photography And Images Alamy

Solucionario Del Chrurchill Variable Compleja
Osa Design Of Narrowband Bragg Spectral Filters In Subwavelength Grating Metamaterial Waveguides

Frontiers Compound Formation In Language Mixing Psychology
C Span Org National Politics History Nonfiction Books

Cardiovascular And Metabolic Profiles Of Offspring Conceived By Assisted Reproductive Technologies A Systematic Review And Meta Analysis Fertility And Sterility

Solucionario Del Chrurchill Variable Compleja
Osa Design Of Narrowband Bragg Spectral Filters In Subwavelength Grating Metamaterial Waveguides

Antiepileptic Drug Carbamazepine Promotes Horizontal Transfer Of Plasmid Borne Multi Antibiotic Resistance Genes Within And Across Bacterial Genera The Isme Journal

Long Term Dietary Change In Atlantic And Mediterranean Iberia With The Introduction Of Agriculture A Stable Isotope Perspective Springerlink

Fabrication Of Bifeo3 G C3n4 Wo3 Z Scheme Heterojunction As Highly Efficient Visible Light Photocatalyst For Water Reduction And 2 4 Dichlorophenol Degradation Insight Mechanism Sciencedirect

Interleukin 11 Wikipedia
Z Wiktionary
Atletika Otrokovice Photos Facebook

Water Free Full Text Modelling Soil Water Dynamics From Soil Hydraulic Parameters Estimated By An Alternative Method In A Tropical Experimental Basin Html

Transparency Reduces Predator Detection In Mimetic Clearwing Butterflies Arias 19 Functional Ecology Wiley Online Library

Whole Genome Resequencing Of 445 Lactuca Accessions Reveals The Domestication History Of Cultivated Lettuce Nature Genetics

Catalytic Addition Of C H Bonds Across C C Unsaturated Systems Promoted By Iridium I And Its Group Ix Congeners Chemical Society Reviews Rsc Publishing Doi 10 1039 D0csj

Management Of Accidental Hypothermia A Narrative Review Medicina Intensiva
Full Article Dietary Prophage Inducers And Antimicrobials Toward Landscaping The Human Gut Microbiome
Alt Codes How To Type Special Characters And Keyboard Symbols On Windows Using The Alt Keys

Solucionario Del Chrurchill Variable Compleja
Osa Label Free Biosensing With A Multi Box Sub Wavelength Phase Shifted Bragg Grating Waveguide
Lf Bppa0342c Midwifery Ii Practice

Defining The Shelf Edge And The Three Dimensional Shelf Edge To Slope Facies Variability In Shelf Edge Deltas Laugier 16 Sedimentology Wiley Online Library
I Plavecky Klub Otuzilcu Praha Photos Facebook

Solucionario Del Chrurchill Variable Compleja

Code 128 Wikipedia

Three Server Swapping For Access Confidentiality

Water Free Full Text Modelling Soil Water Dynamics From Soil Hydraulic Parameters Estimated By An Alternative Method In A Tropical Experimental Basin Html

Charge Carrier Extraction By Linearly Increasing Voltage Analytic Framework And Ambipolar Transients Journal Of Applied Physics Vol 108 No 11

Vyroci Teroristickeho Utoku Na New York 11 Pribehu Z Trosek Denik Cz
Osa Design Of Narrowband Bragg Spectral Filters In Subwavelength Grating Metamaterial Waveguides
Parasites Modulate The Gut Microbiome In Insects A Proof Of Concept Study

Catalytic Addition Of C H Bonds Across C C Unsaturated Systems Promoted By Iridium I And Its Group Ix Congeners Chemical Society Reviews Rsc Publishing Doi 10 1039 D0csj

A Self Attention Based Message Passing Neural Network For Predicting Molecular Lipophilicity And Aqueous Solubility Abstract Europe Pmc

Frontiers Trade Offs Among Aboveground Belowground And Soil Organic Carbon Stocks Along Altitudinal Gradients In Andean Tropical Montane Forests Plant Science
Osa Sub Wavelength Grating Assisted Polarization Splitter Rotators For Silicon On Insulator Platforms

A Decrease In Anaerobic Bacteria Promotes Candida Glabrata Overgrowth While B Glucan Treatment Restores The Gut Microbiota And Attenuates Colitis Gut Pathogens Full Text

Frequency Symptoms Risk Factors And Outcomes Of Autoimmune Encephalitis After Herpes Simplex Encephalitis A Prospective Observational Study And Retrospective Analysis Abstract Europe Pmc

Ex 5 1 11 Find Multiplicative Inverse Of 4 3i Teachoo

Cobalt Catalyzed Z Selective Semihydrogenation Of Alkynes With Molecular Hydrogen Chemical Communications Rsc Publishing

The Effect Of Nitrite Food Preservatives Added To Se I Meat On The Expression Of Wild Type P53 Protein

Regulation Of Osspl14 By Osmir156 Defines Ideal Plant Architecture In Rice Nature Genetics

Dur Abi Esuh And The Aftermath Of The Attack On Nippur New Evidence From Three Unpublished Letters Cairn Info
Papers Past Newspapers Inangahua Times 11 July 1907 Page 1 Advertisements Column 4

Solucionario Del Chrurchill Variable Compleja
Osa Sub Wavelength Grating Assisted Polarization Splitter Rotators For Silicon On Insulator Platforms

A Predefined Cumulative Failure Probability Of A Same Sized Specimen Download Scientific Diagram

Pdf Urbanization And Urban Sprawl Issues In City Structure A Case Of The Sulaymaniah Iraqi Kurdistan Region

Scrabble Letter Distributions Wikipedia

Icc Scoring Nuclear Staining And Relative Quantification Of Inos Mrna Download Scientific Diagram
Vietnamese Alphabet Wikipedia
Jyryd Papjujqm

Modeling And Simulation Of The Endogenous Cyp3a Induction Marker 4beta Cpaa



