
Mann Whitney Test Independent Samples Real Statistics Using Excel
Pdf Solution Manual Fluid Mechanics 4th Edition Frank M White Rocha Antonio Academia Edu

Solved Let V R2 For U1 U2 V1 V2 V And A R Define Vec Chegg Com
U Uss Ri のギャラリー

Pdf Free Download
Transport Phenomena Solved Problems

Example 42 Let X Y R U V If And Only If Xv Yu Examples

Solved Let S F D Where D U V U2 V2 9 U 0 V 0 An Chegg Com

Pdf Free Download
Mojibake Wikipedia

Model Independent Bounds For Option Prices A Mass Transport Approach Springerlink

Mann Whitney Test Independent Samples Real Statistics Using Excel

Mann Whitney Test Independent Samples Real Statistics Using Excel
Altgr Key Wikipedia

A Peptide Extension Dictates Igm Assembly Pnas

Oll Speedcubereview Com

Sampling From A Normal Distribution Bounded Rationality
Rings Of Uranus Wikipedia

Conservation Of Momentum

Mann Whitney Test Independent Samples Real Statistics Using Excel

Solved Bases And Similarity 2 6 Problems P 2 1 Let B U Chegg Com

Chapter 3 Vectors In N Space Norm Dot Product And Distance In N Space Orthogonality Ppt Download

German Umlauts A O And U The German Language Guide

Sums Of Random Variables R Bloggers

14 M U H2 U2 Mv Mv 10 Free Cows Two Spherical Bodies Of

U K I Ps High Resolution Stock Photography And Images Alamy

The Land Of Assur In The Late Bronze Age Chapter 2 Bronze Age Bureaucracy

Proof U 3 2 Pv Or U 3 2 Nrt Video Khan Academy
M Wiktionary

Halliday Resnick Walker Fundamentals Of Physics 8th Edition Ppt Download

Circular Motion A Particle P Travels In Circular Path Ppt Download

Solved 1 Consider The Matrix 3 3 A Find The Eigenval Chegg Com

Solucionario De Fluidos White

Example 42 Let X Y R U V If And Only If Xv Yu Examples
If U F R Where R 2 X 2 Y 2 Then 2u X 2 2u Y 2
C Span Org National Politics History Nonfiction Books

Making Sure You Know The French Aller Conjugation

Equations Of Motion Wikipedia

Client Url List Of Object Servers That Contain Object Pdf Free Download

Pdf Free Download

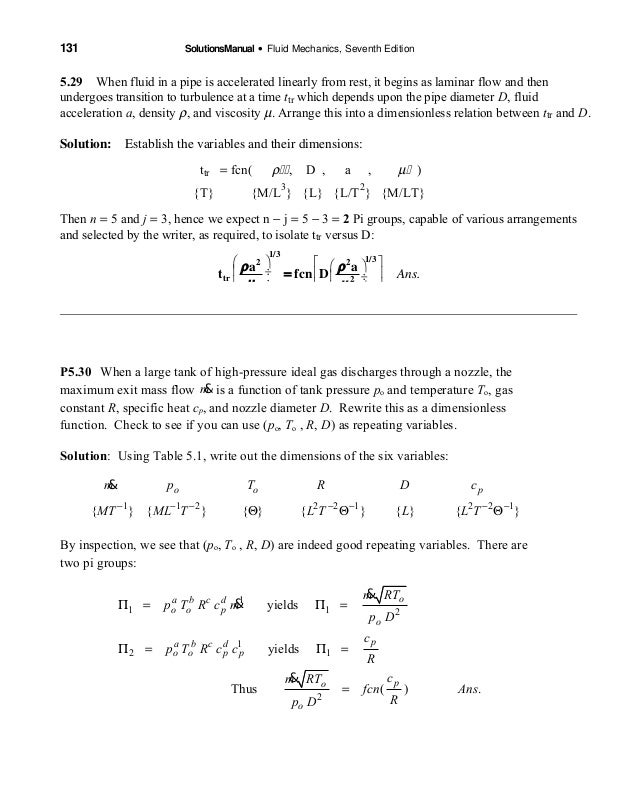
7e Chapter5sm Final Newfrank White Fluid Mechanics 7th Ed C

A Transparent Sphere Of Radius R And Refractive Index M Is Kept In The Air At What Distance From The Surface Of The Sphere Should A Point Be Placed So As To

I6 Fiµ Ssuwrph Ib Ae R I U º R Heo Oden I6ykf Wa U B Flickr

The Spliceosome U2 Snrnp Factors Promote Genome Stability Through Distinct Mechanisms Transcription Of Repair Factors And R Loop Processing Oncogenesis

Solved Directions In This Assignment You Are Asked To Pr Chegg Com

U S Bases In Thailand During The Vietnam War And Agent Orange Worlds Revealed Geography Maps At The Library Of Congress
Prove That Mu 1 U Mu 2 V Mu 2 Mu 1 R When Refrac

Solved Directions Produce Proofs Of Properties Of Vector Chegg Com

Two Charges Are Placed As Shown In Figure Where Should A Third Charge Q Be Placed So That It Remains At Rest

Vba Chr Mapping Of Characters With Their Ascii Values

Prove That Mu 1 U Mu 2 V Mu 2 Mu 1 R When Refrac

Solved 1 Translate The Following Set Of Equations Into T Chegg Com

Pll Algorithms Cfop Speedcubing Cases Speedsolving Com Wiki

Pdf A O 1 R 2 First Order Algorithm On Composite Nonconvex Optimization Problems

E ƒ D ƒp ƒ ƒ ƒ Ae µ Wg ƒng I Oev Zz Oe E ˆe Download Scientific Diagram

Mitochondrial Dna History Of Sri Lankan Ethnic People Their Relations Within The Island And With The Indian Subcontinental Populations Journal Of Human Genetics

Let G U V U 2 V Is G One To One If Not Determine A Domain On Which G Is One To One Find The Image Under G Of A The U And V Axes B The

Two Eigenvectors Corresponding To Distinct Eigenvalues Are Linearly Independent Problems In Mathematics

Solucionario De Fluidos White

Math 434 542 Fall 15 Definition Sheet Dec 7 15 Carter

Pdf Free Download

Let G U V U 2 V Is G One To One If Not Determine A Domain On Which G Is One To One Find The Image Under G Of A The U And V Axes B The
Altgr Key Wikipedia



