
Index Of Images Gac

Annual Record 14 By Trinity College Cambridge Issuu

Tittel Xploration In Norderuvefeltel Roros Northern Ore Field Roros Norway Dato Ar Bergdistrikt Pdf Free Download
Jrjrae Eii のギャラリー

James E Bruce Jr Attorney At Law Hopkinsville Ky Law Lawyerland
Solved Evaluate The Triple Integral Latex Iiint E Xy Chegg Com
Another Arrest And Case Osceola County Sheriff S Office Facebook

Olio Officers R If Ii D Klchardson I Ih I Ll N 6 President Treasurer And Manager Li I Zhc Williston Club C Fficers W C Seelye 95 A E Rosa 97 R D
Apportionment The Netting Off Approach C

Do You Need A Comma Before Jr Grammar Girl

First Experiences With Personal Networks As An Ena Universiteit

Pheon Issue 1 26 By Sidney Sussex College Issuu

Law Of Corona And Dielectric Strength Of Air Iii

604 Navy Lists Quarterly 1913 April British Military Lists National Library Of Scotland
Good Night And Good Luck Wikipedia

Young People At Risk Of Developing Anti Social Personality Disorder

Quotes Love Quotes Cute Quotes Amazing Quotes

Book Printed Material Available Online 1958 To 1958 Florida White Pages And Yellow Pages Tampa 8 1957 Thru 2 1958 Usteledirec Usteledirec Library Of Congress

Georgia Tech Alumni Magazine Vol 38 No 05 1960 By Georgia Tech Alumni Association Issuu

Pdf Development Of A Stimuli Responsive Polymer Nanocomposite Toward Biologically Optimized Mems Based Neural Probes

Pdf Rings In Which Nilpotents Belong To Jacobson Radical

Gown Of Shadow And Flame Marling A E Amazon Com Books

Dea In The Public Sector Springerlink

Cyclopedia Of Mechanical Engineering A General Reference Work Editor In Chief Howard Monroe Raymond Assisted By A Corps Of Mechanical Engineers Technical Experts And Designers Of The Highest Professional Standing 1 I If

Jindabyne Memorial Hall Places Of Pride

Deep Immune Profiling Of Covid 19 Patients Reveals Distinct Immunotypes With Therapeutic Implications Science
Band Parameters For Iii V Compound Semiconductors And Their Alloys Journal Of Applied Physics Vol No 11

Figure 6 From Private Learning And Sanitization Pure Vs Approximate Differential Privacy Semantic Scholar

Physical Activity Exercise And Diabetes A Position Statement Of The American Diabetes Association Diabetes Care

A Selection Of Scotish Melodies With Symphonies And Accompaniments For The Piano Forte G S

Efficient Profile Aggregation And Policy Evaluation In A Middleware For Adaptive Mobile Applications Sciencedirect

Pdf The Local Plasma Frequency Approach In Description Of The Impact Parameter Dependence Of Energy Loss
Gaussian Basis Sets For Use In Correlated Molecular Calculations I The Atoms Boron Through Neon And Hydrogen The Journal Of Chemical Physics Vol 90 No 2

Solved 2 5 A Solution Is Created By Taking 42 34 Ml Of 0 Chegg Com

Solved 2 5 What Is The Concentration Of Ae In The Followi Chegg Com
Solved Consider A Relation R A B C D E G H 1 J And Chegg Com

皆の日本語本冊初级2英語 Translations Grammatical Notes

Solved Derivatives Suppose 2 Is An Open Subset Of R And Chegg Com

N 3 Fatty Acid Metabolism In Women Reply British Journal Of Nutrition Cambridge Core

Transmission Lines V 1c 1 Ceng4480 Transmission Lines Ppt Download

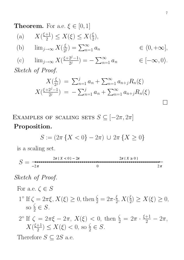
Some Examples Of Scaling Sets

Hfrbk 3 Here S The Event Link On Interpark For The Nu Est Official Fan Club L O L E 2 5th Recruitment T Co 0recc6sory Happy Registering 뉴이스트 Nuest Nuestnews Jr Aron Baekho Minhyun Ren 째알

Jr Jr In The Middle Official Visualizer Youtube

Northern France From Belgium And The English Channel To The Loire Excluding Paris And Its Environs Handbook For Travellers Xk Uiiidt Jflif Ch A S Nrnrtin U O1 Aueme
Papers Past Newspapers Manawatu Standard 13 October 1919 Page 1 Advertisements Column 6

Rarefaction Indices Tricot 1980 Mathematika Wiley Online Library

Nutrition Therapy For Adults With Diabetes Or Prediabetes A Consensus Report Diabetes Care

Smartphone Die Besten Android Apps Fur Die Videobearbeitung Channelpartner De

1 Sec Ep High Resolution Stock Photography And Images Alamy

E The Escapee Etheescapee Twitter

Page 1766 Long Beach City Directories Long Beach Public Library Digital Archive

J Ii Ae High Resolution Stock Photography And Images Alamy

Nice Quote Tolkien Tolkien Quotes The Hobbit
Clipping From The Huntsville Times Newspapers Com

Phase I Ii Study Of Covid 19 Rna Vaccine Bnt162b1 In Adults Nature

Amazon Com Extreme Trains Ice Cold Express Extreme Trains Movies Tv

Dfccil Recruitment 21 Apply Online For 1074 Jr Executive Executive And Jr Manager Posts Dfccil Com Graduates Eligible

Loose Leaf For Mechanics Of Materials By Beer Ferdinand Johnston Jr E Russell Dewolf John Mazurek David Amazon Ae

Naacp Dr Martin Luther King Jr

Eat What You Kill The Fall Of A Wall Street Lawyer Regan Jr Milton C Amazon Ae

Cameron S Encyclopedia Of Motion Pictures A E D D Teoli Jr A C Free Download Borrow And Streaming Internet Archive

Cameron S Encyclopedia Of Motion Pictures A E D D Teoli Jr A C Free Download Borrow And Streaming Internet Archive

Fantastic Stories Presents The Worlds Of If Super Pack 2 By Kurt Jr Vonnegut Amazon Ae
Hollywood Loved Sammy Davis Jr Until He Dated A White Movie Star Arts Culture Smithsonian Magazine

Cameron S Encyclopedia Of Motion Pictures A E D D Teoli Jr A C Free Download Borrow And Streaming Internet Archive

Problem Corner The Mathematical Gazette Cambridge Core

Xv Irreversible Thermodynamics L Tisza A E Fein

This Page Declassified Iaw E Pdf Free Download

Recherches Philosophiques Sur Les Egyptiens Et Les Chinois A Amsterdam A Leyde Cb A R T H

Petition Jail Time For D M And J R Change Org



