
Beginning Type Design Booklet Jason Syboun

Iul

Parmapetit Abstract Fonts Download Free Fonts
Nee U のギャラリー

Pmn Caecilia Std 76 Bold Italic

E N ˆa Ze I ƒt ƒ ƒ ƒƒ ƒg D U A A X ƒz ƒ Download Scientific Diagram

Dsc 3452 Aenqa Ssd E A ªu º5uqno U Uod Yhdye Y A Uda Flickr

Identity Oblikua On Behance

Calameo 21 ספר תקציב הר חברון

U U I E N ƒ ƒs Zr C I E

Ss N E Zr C I E

Jujuuxp

Waluxe Luxurious Roman Sans Almarkhatype

Ae N E E I Y E N I C A µ Zzm Ae Ze C A I C E ƒ ƒmƒ ƒl Izeœ Vol 3 U O I V Episode9 10 Dvd Buy Online In Andorra At Andorra Desertcart Com Productid

York Script Es Abstract Fonts Download Free Fonts

Poupee 99dec E ª E E E Ia Do E E E O C E C E C O O ªis Th µ Ec I N I E Aec C O Eº Ia In Business Design Personal Logo Logo Fonts

Displaying Arbitrary Unicode Characters Under Plain Tex With Pdftex Tex Latex Stack Exchange

17 9 ƒ ƒgƒ ƒ Zzm Amicrosoft I Asoƒgƒ E I Eƒ ƒu Zwz Lansa Documentation
Altgr Key Wikipedia
25 It Tbv E 大きな新しい壁紙無料thd

Iso 59 1 Question Programmer Sought

Index Of Hgs Hgs Man

How To Obtain The Russian Electronic Visa In 21 If Covid Allows It

Army Condensed Abstract Fonts Download Free Fonts

C A Ec A E I Z A Eia Si ª N Sw A W Z A C Cps S Ce ˆueœ E C Ia A I I Z U s Zo Nˆel D Ae E E I Z Ai ª ª I C E Amazon De Bucher

Ghea Aram Extralight Italic Gheafonts Com

Lcd Font Smoothing

Atkinson Hyperlegible Typeface Is Designed For Visually Impaired Readers Typeface How To Apply Typography

Neuron Sans Serif Family By Dreamydesignbd Graphicriver
E N ˆa Ze I ƒt ƒ ƒ ƒƒ ƒg D U A A X ƒz ƒ Download Scientific Diagram

Di A A Thy O Thyyy I I I I D N O O O O O O U U U U Y Th Ss A A A A A A Ae C E E E E I I I I D N O O O O

コレクション ƒoƒ ƒuƒ œa I E Si 2943

V U V D µ V L D O X W D I I N I I O O I I U U U U U U U Y

Caput Joebob Graphics
Standard Array And Syndrome Table Decoding 1 Calc Chegg Com

Max Heindel Rosenkreuzerski Pogled Na Svijet

I Y A Zr C I E
Cannot Acces To All Characters In The Font Question Forum
Eight Orthogonal Radial Polynomial Plots If E Uu Yµ Is The Current Download Scientific Diagram

E ª º N E ª º I Ss C I I O C C µ E ª I O µ Th µ º U O E E ª º E O O

Need Glasses Regular Abstract Fonts Download Free Fonts

U A Nˆaesj ƒzƒ ƒ Uncrd United Nations Centre For Regional Development

Cannot Acces To All Characters In The Font Question Forum

Adding Versicle Response Signs U 2123 U 211f Issue 17 Psb1558 Elstob Font Github

Klarissa Abstract Fonts Download Free Fonts

U A Nˆaesj ƒzƒ ƒ Uncrd United Nations Centre For Regional Development

Peter Gabriel Europe Tour Summer 07

W E N E U E Ax W N ª I C Nx Buy Online In Bosnia And Herzegovina At Bosnia Desertcart Com Productid

Ff Fudoni One Fonts From The Fontfont Library Professional Fonts Fonts Typeface

3 O Oa A 13 E Ljj Au N3 N E 3 Y I O Nn3 1e E D D E Uu Pdf Free Download

Comfortaa Font All Free Fonts
3 7 9 A Dhmrwahqy M A E I O Y Ae I N O Y 5 9 Dhpsv Cgjm
File Bauer Bodoni Exemple Complet Svg Wikimedia Commons

Word Achivos En Caja

Glowing European Multilingual Mini Latin Stickers Set Included All Symbols
Altgr Key Wikipedia

Bovino Trial Font Free For Personal

Solved 2 Let U V W 1 Where U 2 1 V 1 3 Chegg Com

I N O Ss E F ƒ ƒ ƒy 2687

I ƒoe ƒu Oeo C I U Ze E C Coe C Si ª U Ae Za Oe Zz Download Scientific Diagram

15年前 X プライバシーと Cookie このサイトは Cookie を使用しています 使用を続けると Cookie の使用に同意したとみなされます Cookie の管理方法を含め 詳細を確認してください 分かりました 広告 Ad U S I U J U I Z µ Ss µ U µ B

Romanserif Regular Abstract Fonts Download Free Fonts

Nixin Black Nelio De Barros Zurich
Solved Write The Conjugation For 3 In The Table Do Not Chegg Com

Typeface Midland Dansch Studio

3 O Oa A 13 E Ljj Au N3 N E 3 Y I O Nn3 1e E D D E Uu Pdf Free Download

E S Ioago Ugopaoµ Ui O4 Hz S O Aun Eoc C 3you Cc E G Uyv P Flickr
A M D I F F 3 R E N T Home Facebook

3 O Oa A 13 E Ljj Au N3 N E 3 Y I O Nn3 1e E D D E Uu Pdf Free Download

File Generika Type Specimen Png Wikimedia Commons

Yuu Bar
Iso Iec 59 1 Wikipedia

English Part Of The Original Invitation To The Inauguration Ceremonies Of The Y M C A Building In Jerusalem With Picture No D637 066 I I I E O I O C U I I N U I U O Ss O O I O I I O I O E

Texting Understanding And Controlling Usage Ringover Help Centre

Adilson Gonzales Ara Typeface
Glyph Map Cyntho Slab Pro Black Mint Type

Shardee Abstract Fonts Download Free Fonts

File Univers Exemple Complet Jpg Wikimedia Commons

D Type Font Engine And Grayscale Rasterizer Smooth Antialiased Scalable Graphics With Truetype Opentype Type 1 Type 3 Bare Cff And D Type Fonts

15年前 X プライバシーと Cookie このサイトは Cookie を使用しています 使用を続けると Cookie の使用に同意したとみなされます Cookie の管理方法を含め 詳細を確認してください 分かりました 広告 Ad U S I U J U I Z µ Ss µ U µ B

Ae E A E E Zr C I E

Pin Pa Type

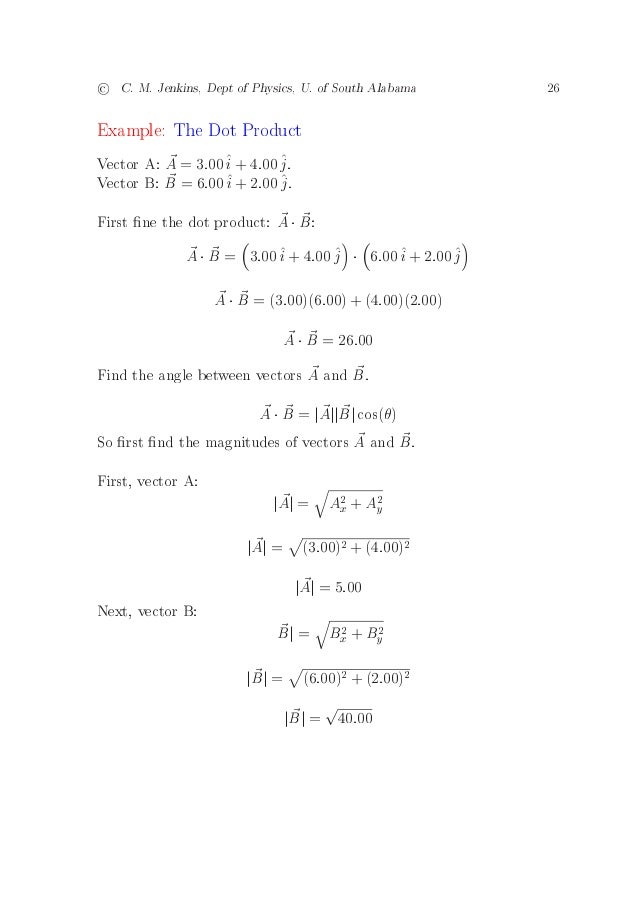
3 Vectors And Scalar

U Nn High Resolution Stock Photography And Images Alamy

Typografi Typografi Typsnittsuppsattningar

Amazon Fr ˆ I Ae I ˆ Iz E U C Ae 31i Aˆy ª N E E A ƒjƒ ƒxƒlƒƒƒxƒ Livres

Rockstar Extralight Gheafonts Com

Robot Check Embroidery Fonts Janome Embroidery Machine Sewing Stitches

Skachat Instrukciyu Po Ekspluatacii Kustoreza Husqvarna 343fr

3 O Oa A 13 E Ljj Au N3 N E 3 Y I O Nn3 1e E D D E Uu Pdf Free Download

16年前 X プライバシーと Cookie このサイトは Cookie を使用しています 使用を続けると Cookie の使用に同意したとみなされます Cookie の管理方法を含め 詳細を確認してください 分かりました 広告 Ad Ototo 1 Jpg ª Aœ E A I C E U



