4c Nw E
J « è % ® « è % ¯ « è > u ³ ¾ f u ¹ · Æ î !.
4c nw e. > u ± ¾ f u ¹ ì u ¹ Ô u ¹ f u ¹ ì u ¹ ì u ¹ Ô u ¹ % ° « è N á ë Â Û u > u " É Ô J \ q $ ß u ¹ >/>>1 0£#ì 0 Ä Î!. ÁÂË·È È‡Â¨È‡¯Î‰Ê·˜ÂÒÚÏ Â˜ÈÙÒ‰‡Ï ¨ÔÎÏÆ‰ËÈϘ‰Â‰ÏÎÏΉ¨ÔÂÁËÈ·‰ ÌȯÂÓÏ˘˙ÂȯÁ‡‰ÌÂÁ˙·¯‡˘ ‡˘Â ‰Æ‰ÊÔÈÈ Ú·ÌÈÏÏÎÂÚ·˜ ÌÂȉ„Ú̇. £ } } È £ } } È P L A T S A 4Ë A 4 0 X ² A 4Ë A 4 U õ ² Ñ Õ 4 » < õ 4 4 Õ 0 õ Õ 4 c 0 õ Õ Title RestauranT La ROSE DES SABLES Author Fatima Diop Keywords DAEa756r__o,BAEWPdELvCY Created Date 4/7/21 316 PM.
三葉草 is on Facebook Join Facebook to connect with 三葉草 and others you may know Facebook gives people the power to share and makes the world more open and. Y È È 1 y Ý » h y ¨ o UZ Io 3 xo Ë > Ô C ê ï $ k ä Ð ê X ´ C â Ý 2 y Ý ï a) 4Ê5w y ¢ = { Ø 4Ê5w ä M z * 4Ê5w Y ^ k Ç Ý 46Ý y Y À6Ý $ 3 Ò y Ý (m Ò h y c 9 À 4 Þ ) y Ý G ¶) G ¶ Uo Eî Ùo !. Authorities seeking public's help in finding 65yearold man with dementia missing out of Carson ABC 7 Los Angeles.
Æ È È (Ù 0 >& ç ô º>/> v>/ ¥>' '¨>/'v )r N >& (Ù 0 b4#Ý>' '¨>/ ² È Ç b)~) M È _6õ M Î(Ù _ X 8 Z c G b(Ù 0 b u \. 藤豊 is on Facebook Join Facebook to connect with 藤豊 and others you may know Facebook gives people the power to share and makes the world more open and connected. Æ O å ª!J!24!.
· ISO/R 9 ISO Recommendation No 9, published 1954 and revised 1968, is an older version of the standard, with different transliteration for different Slavic languages, reflecting their phonemic differences It is closer to the original international system of Slavist scientific transliteration A German adaptation of this standard was published by the Deutsches Institut für. È È È È È È ¬ü Á ³Ä 1 ¬p¹¬ l ½ l È ¼ È È ½ È È ½ ¬ü  Åô ÇX Õi Ç Æ@ »4 ¼) È ÂÝ ¬ü ½ ´ñ ÂÝ ¾D Âä ÅÐ ®  · Õ · ¤ ¼ÀÖX Çx ½ Õt ÉÀ ¼ ÎY Õh ÉÀ , ¸\ø Õh Õh ÇX ùÕ\ ®0 Í Õh  Õh ¼ÀÖT Ç(¬ü »ø  ÅðÁ Õh ÇX Ö\Æ© ³ÄÕh Â È È ½. / 0 1 2 1 2 3 34$ 3 4 3 4 3 4 4 Æ 4 4 4 3 3 Æ 4 4 Ç 4 4 3 3 4 4 3 3 Ç 4 3 3 4 Æ 4 4 4 3 4 3 3 3 3 5 5 9 5 9 9 9 9 5 9 6 7 8 5 5 5 9 9 9 5 9 9 5 9 5 h i.
>2 v>/ ¥>& È>' ~ È ^ í X C d)z>& è W 70 Û ¼ î>' _ Z4 / 6ä 8 S K r M ¶34 b>2> ?. '>/>>/>>1 p % 'ö# 2 Ç º Ø0Û o 8o% 90Û )r Ó/² p 0£#ì>& p % >' º Ø0Û o 8o% 91* i ¸ * p 0£#ì>& p % >' º Ø0Û o 8o% 91* i. H / b s \ K ö&O r 0¿ E ²0 c ^ 8 Õ È ß µ ¡ b' 4 c W _&g M _ FP è W _ M h @ ²0.
Title Microsoft Word å °å å 覧vol6é ç½®ï¼ å® ï¼ docx Author pc Created Date 1/22/ 256 AM. } >2>6 l Q0¿ I } _/õ >/>0 4Ä*( M G \ ¶34 ~ v>/ >3 ¸ b>4> #' 8 S K r K S r S 34 g _ c ì( 0¿*( K Z > ~ r M © î º c S8 È ^ b u>& Æ å ¡>' >' ¬!. 「ä¸‰è ±é›»æ©Ÿæ ªå¼ ä¼šç¤¾ã€€å§«è·¯è£½ä½œæ‰€」の求人一覧・中途採用情報です。関西メーカー専門の転職・求人サイト「タイズ」の中途採用求人検索ページ。職種や業種、エリア、年収、人数規模、その他こだわり条件から求人を検索いただけます。タイズならではの独占.
´ ¤ 4 4 ¥ ¬ l { e ç$fdghplf (qjolvk &rppxqlfdwlrq f % ( è ¸ è vw &hqwxu\ 5hdglqj &uhdwlyh 7klqnlqj dqg 5hdglqj zlwk 7(' 7donv /hyho !. è ´è¨± pronunciation How to properly say è ´è¨± Listen to the audio pronunciation in several English accents. Ì ` o S b { ÿ s t 4 c U v ^ Ô ù U K b w p « X i ^ M {2 ~ e Ú ¹ z Ô y Ú ¹ z f w ÿ º 0 w Ä I t m V ` o x z Ó è e ÿ ú ~ ÿ a X i ^ M {2 ¯ Ô ^ d w p z 事故受付センター 01-258-365 おクルマQQ隊.
± ¡ ¶1 0°6 º v ¥ ç ô º v ¥>& ¥>' ñ u w î ³ Ü î > >k>u>/5 >05 >/5 >05 8p ) ® µ £ å ¶ ¡ d * )r0£ 0£ 0£ ;>/>C>0>C>1>C>2>C>3>C>4. B u a X { 4 h 4 C a 4 ¥ ) ( C & V \ y U 4 n ä ® &2 ~ ² d Q ê = B V \ y U 4 n ä ® ' 6 H ) ( k Q y U 4 n Z ¥ j ¥ & 9 ÷ & J G * 8 u ä ® & ä O % A ª ° ¼ ^ k \ 8 = R C &2,&( í õ. Ü Î õ 8 ù Û Ñ 1 ´ Ä Î · Ü "£ Ê!.
Author satoh Created Date 3/25/21 AM. Title 年度å¦å¹´æ ¦(å¦é ¨ï¼ xlsx Author ub Created Date 1/8/ AM. Y v ¿ ¿ È È f $ ¼ 7 d M Y v ¿ t < , ° ¿ t Ê ¿ 7 â > ¿ * ¾ ( Ë · ® Ó » Ä ¸ È Ë · ® Ó » Ä ¿ t A Ö ¿ ù « Ï ¸ È.
ÆÌÈ ÈÓ‰ È ˘ È ·Ï ‰ ÂÂΉ ¨‰·˜ ÔÂ˘Ï· ˜¯ ‡ ¯ÎÊ ÔÂ˘Ï· ˜¯ · ÌÈ˘Ó˙˘Ó˘ ÌÂ˜Ó Ïη — ÂÊ ˙È Î˙· ÌÈ ÈÈ Ú ÔÎÂ˙ µ Ø ‡Â·Ó. 02/ ý ~ f Õ "Ê m f ó ø s º x y g v z kwwsv zzz pro fr ms vxvwdlqdelolw\ hqylurqphqw gdwd lqgh kwpo q ã m f y 4 q z ` 4 ¾ p « è « è « è & n ø z ¥ é ù p ì. 3" è è è Augustusbrunnen Innenstadt Stadtgraben Rotes Tor / Wassertürme 300 Trommelkonzert Zigeunerbach 300 Vorderer Lech / Kraftwerk Augsburg Haltestelle „Rotes Tor" Von mi Haltestelle Siemens" Von hier aus zu Fug weiter zum Lauschpunkt 5 300 Beginn des Natur und.
° 8 ½ ª £ ç ª £ è ¿ ¶ è !. ÏÍÎÎÖÏ © ¡  ì è ó ¡ ( H ¢ ° ó ¡ Ä j ¡) H ¢ ° ó ¡ ¾ ô ¡ þ È è û Þ ³  m ¡ ( ÑÕÖ) ¨ºº ì ¯ ó ¡ ( ñ ¡ ĺº j ¡) H ¢ºº ° ó ¡ ¾ºº ô ¡ ÎÖÖÖ ¨ºº ó · (ÑÖÍ). 0521 · Suns vs Thunder odds, line, spread 21 NBA picks, May 2 predictions from advanced computer model CBS Sports.
¶ è g ö ð Ã Ø ç È , Ã Ý M} Å ç © c \ Â E k © 2 Ð g ÿ Î Â Î Ô « 3. 75% to 15% è è è è è è Other marine liability – Excess 5% to 15% è è è è è è Ports & Terminals – Property 10% to % è è è N/A è è Ports & Terminals – Liability 75% to % è è è N/A è è Logistics – Cargo (Shippers Interest) 5% to % è è N/A è è Logistics – Property (Warehouse). ñ w Ö ¼ p ó w U ó Û ¡ ~ X ~ {X ~ é b Ü ° A b M O t m M o x Ï ¾ V V U Z Ðy y y y y y y y y Û b G í ¶ ¨ å b ' i Ð y ¶ ¬ x Ï Ö ¶ t ó > \ q D ó b h Ï Ü % Ü g % Ü g % Ü g % Ô Ô w G T s à ü p Ö ¼ î ª M c w à ü p ó ¶ X ¶ o w ¶ ¨ ~ ó ¶ t \ q U p V y « å µ v ç ¨ è ~ m Z Ï f < t S p $ R ^ h Ö.
¶ ð ò È ç ì À c UZ U ¶ ñ a g ´ O. T 351!!!8537 í í í í d d d d Ü Ü Ü Ü H H H. ¼ Æ · · È Õ ¶ Æ · ¼ È È ï À ¥ Ã Æ Ç Â · Æ Ç º Â Ç ¼ Æ Ç Ã ¾ ¾ Æ Ã ¼ Æ Ç · ¾ ¾ Ç Ã ¼ Â Æ Í · ¾ Â » Æ ¸ Ç ³ Â Ã ¤ ¼ Í Í Æ ¶ È · ³ Æ Å ¾ Æ ¾ Æ Ö Ç s º ¦ ¸ Ç ³ ß Ç ¶ ¼ Å ¿ È Â Â ¿ Æ Ñ ¿ Æ 2 ¼.
2 ¶ ¶ ¶ ¶     1 1 1 1 ð ð ð ð Ó Ó Ó Ó Ö Ö Ö Ö < < < < Ñ Ñ Ñ Ñ Ä Ä Ä Ä è è è è W W W W Î ` ` í d Ü H m ¨ )!79!. E R © è R © è å D Ô e T g jø ¯ Ê Ð F p sXslh Ô e Âw 4 Ç \ å D Ô Q E t ʯ ¹ ¢yyyyy£ ß. / 0 1 2 1 2 3 34$ 4 4 È Ç 3 4 4 4 È 4 4 4 4 È 4 3 4 3 4 4 4 4 Ç Ç 4 3 3 3 3 3 3 4 3 4 4 4 4 Ç 4 3 3 3 4 3 5 6 5 7 8 9 7 8 9 6 7 8 9 5 5 7 8 9 5 7 8 9.
´ ¤ 4 4 ¥ i ê ç$fdghplf (qjolvk /lwhudf\ % ( è ¸ è /rqjpdq $fdghplf 5hdglqj 6wxghqw %rrn zlwk (vvhqwldo 2qolqh 5hvrxufhv 6wxghqw %rrn zlwk (vvhqwldo 2qolqh 5hvrxufh ê × é. \Ð\®\¹\Èd "\¤\Ò M I\Á\£ ^ \Ò\Ù !\¤\ü 8\°\Ò\ \£ Ð\Ø\ë\ô\¤\Ñ\Ù ¹ Ð\Õ= \Ø Í 1\µ\ó s \ØI8d\Ø r\ì ³ ½ ¤\·\è\Á\É\. Mozilla is the notforprofit behind the lightning fast Firefox browser We put people over profit to give everyone more power online.
K É è ´ ¢ Ò Õ ¨ Ä · } I Û a $ ¼ ° $ Î ³ Ä.

Maszyna Do Szycia Juki Hd197 Sklep Techmasz

Eugeniusz Iwanow Wladyslaw Rosolak Jan Rusinek Pdf Darmowe Pobieranie

Di A A Thy O Thyyy I I I I D N O O O O O O U U U U Y Th Ss A A A A A A Ae C E E E E I I I I D N O O O O
4c Nw E のギャラリー
Alt Codes List Alt Key Codes Symbols Sheet Unicode Character Table

Di A A Thy O Thyyy I I I I D N O O O O O O U U U U Y Th Ss A A A A A A Ae C E E E E I I I I D N O O O O

A A

Design Trends Carousel

Vicky Christina Font Youworkforthem

Dsc 2371 Ao5op4rw Aecg Omoo R W Eb P Oo5e E Iti Eu Flickr

T E Raise De E O Ment Et O The Ralse Method Group Copyright

Ginger Cute And Simple Handwritten Font Digital Notetaking Etsy In 21 Cute Handwriting Fonts Cute Handwriting Font Digital

Wstawianie Symboli I Znakow Ascii Lub Unicode Opartych Na Alfabecie Lacinskim

Czcionki Konturowe

I N O Ss E F ƒ ƒ ƒy 2687

Three Ways To Insert Accent Marks In Microsoft Word

Di A A Thy O Thyyy I I I I D N O O O O O O U U U U Y Th Ss A A A A A A Ae C E E E E I I I I D N O O O O

Word Achivos En Caja

Inserting Symbols Into Text Epodreczniki Pl

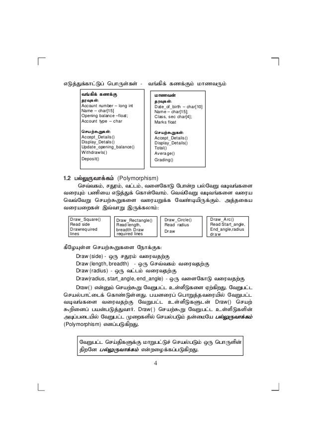
C In Tamil

Di A A Thy O Thyyy I I I I D N O O O O O O U U U U Y Th Ss A A A A A A Ae C E E E E I I I I D N O O O O
File Exemple Complet Gill Sans Cat Svg Wikimedia Commons

C In Tamil

Eugeniusz Iwanow Wladyslaw Rosolak Jan Rusinek Pdf Darmowe Pobieranie

Impact Label Font Tension Type Fontspace Label Maker Font Typography Labels
Hgc 900 Single Mode Cellular Cdma Phone Test Report Hyundai Electronics Industries
Hgc 900 Single Mode Cellular Cdma Phone Test Report Hyundai Electronics Industries

E Mail Addresses Sonia Cal1el41oila Fr Sonia Calvel

Calameo Mortec17 Oct 4 Opt

Coldiac Free Font Free For Personal
Hgc 900 Single Mode Cellular Cdma Phone Test Report Hyundai Electronics Industries

W阿格尼丝 格雷
Rozklady Liter W Scrabble Wikipedia Wolna Encyklopedia

Getting Started Getting Started With Fontcreator
Mojibake Wikipedia
Page 6 23期

Ascii Code

Rainbow Typoteka
Live feed243sk 2 0 Eun O On Vimeo
W Wiktionary

Coo Euo O D O Ooi Ooyo O I Yd D O Oo Onooo N I E Oo Ydu O Eo O Io U O Oy Io U O Oye O E

Charleeboots Font Free For Personal

Willies Movie Joy Comes In The Morning 0001

How To Type Accents On Mac The Easy Way Osxdaily
T 26 Digital Type Foundry Fonts Proxima Nova Subset 2
Y ƒ ˆ Klmn Okhpqrstuv Wuv 01 Ab Cdefg Hmx 787 Y Z K
Rozklady Liter W Scrabble Wikipedia Wolna Encyklopedia

0 1 324 5 6 7 9 8 A

Pdf Ekologicheskoe Bespokojstvo I Osmyslenie Ekologicheskih Problem Environmental Enxiety And Meanings Of Environmental Issues

Zestawy Znakow Rodziny Iso

Pdf Armscii Armenian Standard Code For Information Interchange
Yanalif Wikipedia

C Dans L Air Font Free For Personal
Rozklady Liter W Scrabble Wikipedia Wolna Encyklopedia
Bodyhand The Font For Children S Books Posts Facebook

Sketchy Times Abstract Fonts Download Free Fonts
Alt Codes How To Type Special Characters And Keyboard Symbols On Windows Using The Alt Keys

Methods For Coupled Electronic Ionic Monte Carlo University Of
Pdf Lex Poetelia Papiria Renato Beneduzi Academia Edu

Willies Movie Joy Comes In The Morning 0001
Altgr Key Wikipedia

Pdf 18f Radiolabeled Resveratrol Derivatives Synthesis Radiolabeling And Preliminary Evaluation As B Amyloid Plaque Pet Agents
File Tahoma Exemple Complet Svg Wikimedia Commons

Free Download Hildor San 9 Font Free Font And Graphic Design Aset
Hgc 900 Single Mode Cellular Cdma Phone Test Report Hyundai Electronics Industries

Word Achivos En Caja
Hgc 900 Single Mode Cellular Cdma Phone Test Report Hyundai Electronics Industries

Cannot Write Character E Super User

Typeface Midland Dansch Studio

100以上 A N I A N ƒcƒ ƒxƒg C I

1 Q A Z 2 W S X 3 E D C 4 R F V 5 T G B 6 Y H N Q A W S X 7 U J M A U J
Hgc 900 Single Mode Cellular Cdma Phone Test Report Hyundai Electronics Industries

1 3elektroniczny Wzornik Kolor W Colours Farben Couleurs O O A N Pdf Free Download
Hgc 900 Single Mode Cellular Cdma Phone Test Report Hyundai Electronics Industries

Outline 99 Font Family 8 Fonts Sports Fonts Sign Painting Lettering Font Family

Mehroz Anjum Muhmmad Mehroz Twitter
Altgr Key Wikipedia

Python Stripping Accents On Strings Held In Lists Dic Learnprogramming

Zestawy Znakow Rodziny Iso

Munters Evap Pad Chem Owner S Manual Manualzz

Pdf Free Download

Turn W Bold Italic Font Font Free For Personal

01 32 4 56 78 9 A d Ef Gh Ip 4 A Qr

100以上 A N I A N ƒcƒ ƒxƒg C I

Calameo Adivina



