Htx Memes Din Ven Facebook

Heteroatom Dopants Promote Two Electron O2 Reduction For Photocatalytic Production Of H2o2 On Polymeric Carbon Nitride Zhang Angewandte Chemie International Edition Wiley Online Library

Molybdenum Chloride Nanoscale Optical Indicator From X Ray Download Scientific Diagram
Ko2xl のギャラリー

Pdf L Glutamic Acid Hydrochloride At 153 K Semantic Scholar

Thiophene Anchored Coumarin Derivative As A Turn On Fluorescent Probe For Cr3 Cell Imaging And Speciation Studies Semantic Scholar

Nonpolarizing Oxygen Redox Capacity Without O O Dimerization In Na 2 Mn 3 O 7 Nature Communications

Calculate The Mean Free Path Of Nitogen At 27 C When Pressure I

Condensed Matter Free Full Text Novel Electronic State And Superconductivity In The Electron Doped High Tc T Superconductors Html

Dysprosium Based Complexes With A Flat Pentadentate Donor A Magnetic And Ab Initio Study Dalton Transactions Rsc Publishing

Characteristics Of Fe And Mn Bearing Precipitates Generated By Fe Ii And Mn Ii Co Oxidation With O2 Mno4 And Hocl In The Presence Of Groundwater Ions Sciencedirect

Figure 1 From Aqua 1 10 Phenanthroline L Serinato Copper Ii Nitrate Semantic Scholar

Calculate The Rms Velocity Of Oxygen Molecules At S T P The Molec
Cs3vo O2 2co3 An Exceptionally Thermostable Carbonatoperoxovanadate With An Extremely Large Second Harmonic Generation Response Chemical Science Rsc Publishing

Molecular And Dissociative O2 Adsorption On The Cu2o 111 Surface Physical Chemistry Chemical Physics Rsc Publishing

Condensed Matter Free Full Text Novel Electronic State And Superconductivity In The Electron Doped High Tc T Superconductors Html

16 Gram Of Oxygen 14 Gram Of Nitrogen And 11 Gram Of Carbon Dioxi

Cs3vo O2 2co3 An Exceptionally Thermostable Carbonatoperoxovanadate With An Extremely Large Second Harmonic Generation Response Chemical Science Rsc Publishing

A Vibrational X Ray Absorption Spectrum Of Co At Carbon And Oxygen Download Scientific Diagram

Dopant Activation In Sn Doped Ga2o3 Investigated By X Ray Absorption Spectroscopy Applied Physics Letters Vol 107 No 25

Condensed Matter Free Full Text Novel Electronic State And Superconductivity In The Electron Doped High Tc T Superconductors Html

Resolving The Adsorption Of Molecular O2 On The Rutile Tio2 110 Surface By Noncontact Atomic Force Microscopy Pnas

Solar Uv And X Ray Spectral Diagnostics Springerlink

Crystal And Molecular Structure Of Mesoerythritol Pdf Document

Dual Interphase Layers In Situ Formed On A Manganese Based Oxide Cathode Enable Stable Potassium Storage Sciencedirect

Direct Imaging Of Light Element Impurities In Graphene Reveals Triple Coordinated Oxygen Nature Communications

Rate Constants For O2 And Co Binding To The A And B Subunits Within The R And T States Of Human Hemoglobin Journal Of Biological Chemistry

Synthesis Structure And Properties Of Ruthenium Polypyridyl Metalloligand Based Metal Organic Frameworks Semantic Scholar

Heteroatom Dopants Promote Two Electron O2 Reduction For Photocatalytic Production Of H2o2 On Polymeric Carbon Nitride Zhang Angewandte Chemie International Edition Wiley Online Library

Controlled Dehydration Of Fe Oh 3 To Fe2o3 Developing Mesopores With Complexing Iron Species For The Adsorption Of B Lactam Antibiotics

Dobutsugaku Zasshi Zoology Zoology Ae Aºaaeaa Aºae A I 5 A X To X X Lt E X X X X X Ae X A M Ae E A Quot X X X X X

Ijms Free Full Text Dissecting The Structure Activity Relationship Of Galectin Ligand Interactions Html

Cs3vo O2 2co3 An Exceptionally Thermostable Carbonatoperoxovanadate With An Extremely Large Second Harmonic Generation Response Chemical Science Rsc Publishing

Summary Of The Values T For The Apbi 3 Systems The Octahedral Factor Download Table

Pdf Long Range Magnetic Order In The Heisenberg Pyrochlore Antiferromagnets Gd Semantic Scholar

Evolution Of The Structure And Dynamics Of Bovine Serum Albumin Induced By Thermal Denaturation Physical Chemistry Chemical Physics Rsc Publishing Doi 10 1039 D0cpk

Table 1 From Catena Poly 2 2 Pyridyl Kn 1h Benzimidazole Kn 3 Copper Ii M L Methioninato K3 N O O Perchlorate Semantic Scholar

General Chemistry Final Exam Version A Solutions Chen 1211 Docsity

Pdf The Crystal Structure Of Na 4 Uo 2 Co 3 3 And Its Relationship To Schrickingerite Semantic Scholar

Synchrotron X Ray Absorption Spectroscopy Study Of Local Structure In Al Doped Bifeo 3 Powders Nanoscale Research Letters Full Text
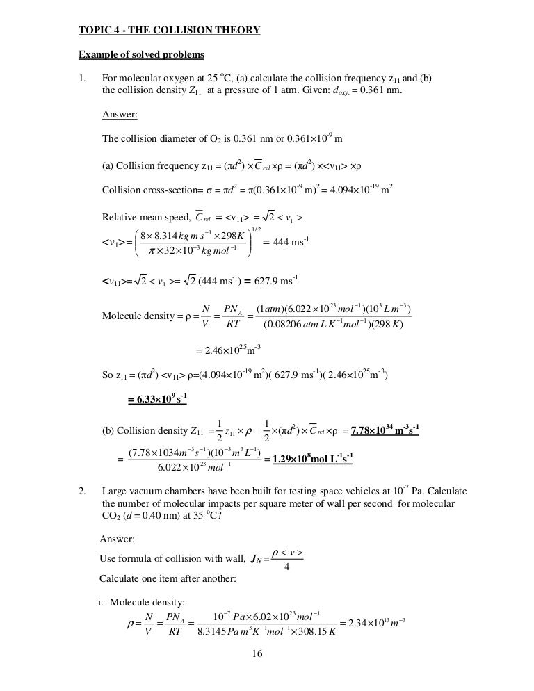
Topic 4 Kft 131

Solar Uv And X Ray Spectral Diagnostics Springerlink

Li Ni0 9co0 09w0 01 O2 A New Type Of Layered Oxide Cathode With High Cycling Stability Ryu 19 Advanced Energy Materials Wiley Online Library

Table 2 From Interpreting The Combustion Process For High Performance Zrnisn Thermoelectric Materials Semantic Scholar

Crystal Data Data Collection And Refinement Details For Bendadaite Download Table

Crystal Structure Local Structure And Defect Structure Of Pr Doped Srtio3 Journal Of Applied Physics Vol 112 No 2

O 2 Sticking Coefficient As A Function Of Oxygen Uptake In O Atoms Cm Download Scientific Diagram
Plos One Study On The Coordination Structure Of Pt Sorbed On Bacterial Cells Using X Ray Absorption Fine Structure Spectroscopy

Ionization Chamber Monochromator Sample Sr It I 0

Rate Constants For O2 And Co Binding To The A And B Subunits Within The R And T States Of Human Hemoglobin Journal Of Biological Chemistry

In Situ Formation Of Molecular Ni Fe Active Sites On Heteroatom Doped Graphene As A Heterogeneous Electrocatalyst Toward Oxygen Evolution Science Advances

Ti Substitution Facilitating Oxygen Oxidation In Na2 3mg1 3ti1 6mn1 2o2 Cathode Sciencedirect

Pdf Counterion Effect On The Formation Of Coordination Polymer Networks Between Agno3 And L 2 2 Oxybis Ethane 2 1 Diyl Diisonicotinate Part 2 Semantic Scholar

Polymers Free Full Text A Heterobimetallic Anionic 3 6 Connected 2d Coordination Polymer Based On Nitranilate As Ligand Html

Yunchul Kim Frankfurter Kunstverein

Quasi Freestanding Epitaxial Silicene On Ag 111 By Oxygen Intercalation Science Advances

Iron Cation An Overview Sciencedirect Topics

Altered Chemistry Of Oxygen And Iron Under Deep Earth Conditions Nature Communications

Pdf N N Ethane 1 2 Diylbis Oxy Bis 2 1 Phenylene Bis Methaneylylidene Bis 2 Hydroxybenzohydrazide Nickel Ii C30h24n4nio6

Resolving The Adsorption Of Molecular O2 On The Rutile Tio2 110 Surface By Noncontact Atomic Force Microscopy Pnas

Cs3vo O2 2co3 An Exceptionally Thermostable Carbonatoperoxovanadate With An Extremely Large Second Harmonic Generation Response Chemical Science Rsc Publishing

Comparison Of The Structural And Electrochemical Properties Of Layered Li Nixcoymnz O2 X 1 3 0 5 0 6 0 7 0 8 And 0 85 Cathode Material For Lithium Ion Batteries Sciencedirect
Osa Tunable White Light Emission In Single Phased K2y1 Xeuxzr Po4 3 Phosphor

Synchrotron X Ray Absorption Spectroscopy Study Of Local Structure In Al Doped Bifeo 3 Powders Nanoscale Research Letters Full Text
Oxygen Deficient Wo3 X Tio2 X Core Shell Nanosheets For Efficient Photoelectrochemical Oxidation Of Neutral Water Solutions Journal Of Materials Chemistry A Rsc Publishing

X Ray Diffraction Parameters For The Measurement Of Single Crystals Of 11 Download Table

Iucr International Union Of Crystallography

Crystal Data And Structure Refinement For 3 Download Table

Synchrotron X Ray Absorption Spectroscopy Study Of Local Structure In Al Doped Bifeo 3 Powders Nanoscale Research Letters Full Text

Intermediate Honeycomb Ordering To Trigger Oxygen Redox Chemistry In Layered Battery Electrode Nature Communications

Color Online A Fourier Transforms Of The K 3 X K Exafs Signals Of Download Scientific Diagram

At What Temperature Will The Average Velocity Of Oxygen Molecules

Synchrotron X Ray Absorption Spectroscopy Study Of Local Structure In Al Doped Bifeo 3 Powders Nanoscale Research Letters Full Text
Osa Tunable White Light Emission In Single Phased K2y1 Xeuxzr Po4 3 Phosphor

How O2 Binds To Heme Journal Of Biological Chemistry
Composition Of The Human Body Wikipedia

Controlled Dehydration Of Fe Oh 3 To Fe2o3 Developing Mesopores With Complexing Iron Species For The Adsorption Of B Lactam Antibiotics
Osa Tunable White Light Emission In Single Phased K2y1 Xeuxzr Po4 3 Phosphor

Iridium Corroles Exhibit Weak Near Infrared Phosphorescence But Efficiently Sensitize Singlet Oxygen Formation Scientific Reports

The Transport Properties Of Oxygen Vacancy Related Polaron Like Bound State In Hfo X Scientific Reports



