Exgpfbi
Get the best deals for eazy e compton hat at eBaycom We have a great online selection at the lowest prices with Fast & Free shipping on many items!.
Exgpfbi. E x h i b i t 9 9 0 1 G r e e n D o t R e p o r ts F i r s t Q u a r te r 2 0 2 0 R e s u l ts P a s a d e n a , CA Ma y 1 1 , 2 0 2 0 G re e n Do t Co rp o ra.

Moment Generating Function Explained By Aerin Kim Towards Data Science
Solved A Let X Be A Discrete Random Variable Let F R Chegg Com

3 B B X 2 Ax 2 Fxdx
Exgpfbi のギャラリー

If Integrating Factor Of X 1 X 2 Dy 2x 2y Y A X 3 Dx 0 Is E Int

Stability Theory For Neumann Eigenfunctions 1 A

Optimal Filtering For Polynomial Systems Over Switching Delayed Observations Springerlink

Section 3 7 Suppose The Number Of Occurrences In A Unit Interval Follows A Poisson Distribution With Mean Recall That For W 0 P Interval Length To Ppt Download

Conditional Probability Essay Mathematics Docsity

Expectation Variance Covariance And Correlation Coefficient Programmer Sought

Integral 1 To 1 E X Dx

Answered Question 1 Let P X Be The Statement X Bartleby

Continuous Random Variables Ppt Download

Setting Procedures To Use A New Parts Palette With Gp Pro Ex Faqs Proface

Ma 305 Conditional Probability Bayes Theorem By Prof
Cond Expec Exercises Ti2216m Studeersnel

Tutorial 7 Qn
Directions Select The Letter See How To Solve It At Qanda
Lbmlsyb64yjmcm

Answered Question 1 Suppose That The Random Bartleby

How Is The Variance Equivalent To The Following Mathematics Stack Exchange

Glossobius Hemiramphi Williams And Williams 1985 Ex Hemiramphus Lutkei Download Scientific Diagram

Solved 1 Consider The Probability Distribution X 369 F Chegg Com

Gp Pro Ex Reference Manual 30 11 4 5 Online Edit Insert Delete Labels

3 B B X 2 Ax 2 Fxdx

A P Candona Ex Gr Angulata A Lv External View B Rv External Download Scientific Diagram

Zg Vlb Demftf Joj Yfkg Vlb Demftf O

Solved Exercise 3 Let F X G X Be Continuous On The I Chegg Com

3 B B X 2 Ax 2 Fxdx

Communication Complexity Of Randomness Manipulation Ppt Download
Bionic Formula Frm Greeks Finance Errors And Residuals
If A B C D E And Fare In G P Then The Value Of A 2

D B 0 B

Probability Theory
7 1 2 Probability Generating Functions On Vimeo

3 B B X 2 Ax 2 Fxdx

If Three Distinct Numbers A B Care In G P And The Equations A X
Non Graded Homework Conditional Expectation 2 Studeersnel

Mean Expected Value Of A Discrete Random Variable Video Khan Academy

Answered Let P X F X G X And Q X Bartleby

Electrochemical Performance Of Sns Pf For High Performance Al Ion Download Scientific Diagram
Wireline Log Data From Well Ex 2 A P And B S Wave Velocities C Download Scientific Diagram

Ex 13 1 12 If A Family Has Two Children What Conditional

The Classification Of Flowering Plants Plants 214 Flowering Plants Fig 104 Carica Papaya A Female Tree Bearing Fruit Much Reduced B Dia Gram Of Bisexual Flower S Sepal P Petal St
E X22x 48 F X24x 32 G X See How To Solve It At Qanda

Cipgnadz39mshm

Solved 6 Let X Be A Random Variable With The Following P Chegg Com

A Q J M Z O R W P I N B C L E X Drawing By Alain

Datasheet Fluke 725 Ex Hubungi Pt Siwali Swantika 021

Ch 2 Ex Defn F12

Ex 13 1 11 A Fair Die Is Rolled E 1 3 5 F 2 3

Gp Pro Ex How To Use Image Font For The Label Of Switch Faqs Proface

Review Formania Ex Gp 01 Fb

Colletotrichum Cymbidiicola From Ex Holotype Strain Imi A B Download Scientific Diagram

Harmony Its Theory And Practice Ex 42 At A Are Two Parts Moving To An Octave By Similar Motion The Lower Part In Leaping Frqm G To C Passes Over The Interme Diate

Solved 1 Let X And Y Be Random Variables A Show That Chegg Com

Heteropogon Contortus L P Beauv Ex Roem Schult A Habit B G Download Scientific Diagram

Intensive Actuarial Training For Bulgaria January 07 Lecture 0 Review On Probability Theory By Michael Sze Phd Fsa Cfa Ppt Download

Logic Seminar 4 Herbrand S Theorem Slobodan Petrovic Ppt Download

Probability Theory
Plos One The Effect Of Gut Passage By Waterbirds On The Seed Coat And Pericarp Of Diaspores Lacking External Flesh Evidence For Widespread Adaptation To Endozoochory In Angiosperms

Table Of Indefinite Integrals 1 R Xdx

Ex Vivo Trabecular Bone Microarchitecture A Bv Tv B Tb Th C Download Scientific Diagram

Pro Face Gp Pro Ex 4 08 100 Gp Pro Pbiii 7 29

Sixth Term Examination Papers Mathematics List Of Formulae And Statistical Tables Pdf Free Download

Kreher Ws1819 Klausur Aus Gedachtnis

Solved Problems 1 Consider The Random Variables X And Y Chegg Com

Quiz4

Uniqueness Of The Solution To A Discrete Boundary Value Problem Mathematics Stack Exchange
Poisson Distribution Wikipedia
1 Vytah

Random Variables And Their Distributions Continuous Random Variable Mt 427 Docsity

Trek Fuel Ex 7 26 Online

Solved Problem 1 Suppose X Is A Continuous Random Variabl Chegg Com
Ex Bar449 Find The General In See How To Solve It At Qanda

J A N W S W H A A N S L N X Lwin V C J A E X A I H B A L N J A H K A I X C L K U N N Mv H X G A N F X

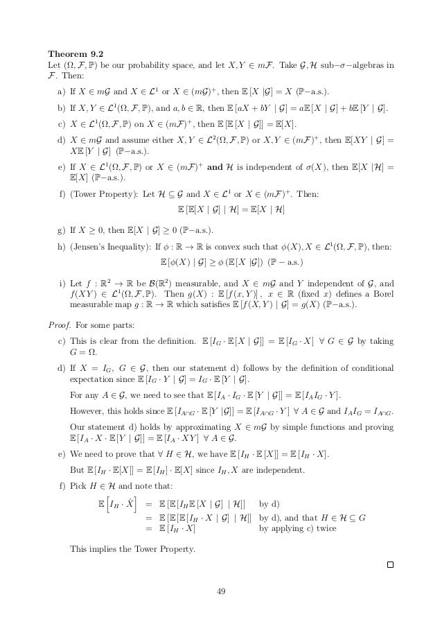
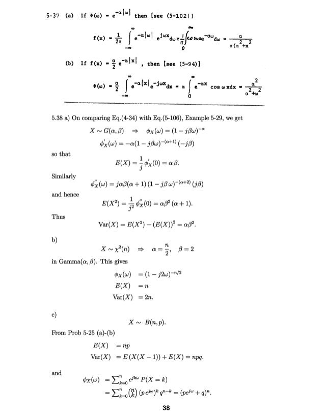
Papoulis Solutions manual 4th edition 1

9 Brownian Motion

Probability And Statistics With Integrated Software Routines Ppt Download

Chem 121 Flashcards Quizlet

1 Math 2305 Discrete Mathematics Homework 1 Textbook P 12

Products Of Real Equivariant Weight Filtrations Springerlink

A Q J M Z O R W P I N B C L E X Art Print By Alain



